@RQueen

Estudios: Grado en Física (UCM) ...Mostrar más

5 Publicaciones

513 Interacciones

0 Seguidores

0 Siguiendo

Lista de publicaciones de RQueen

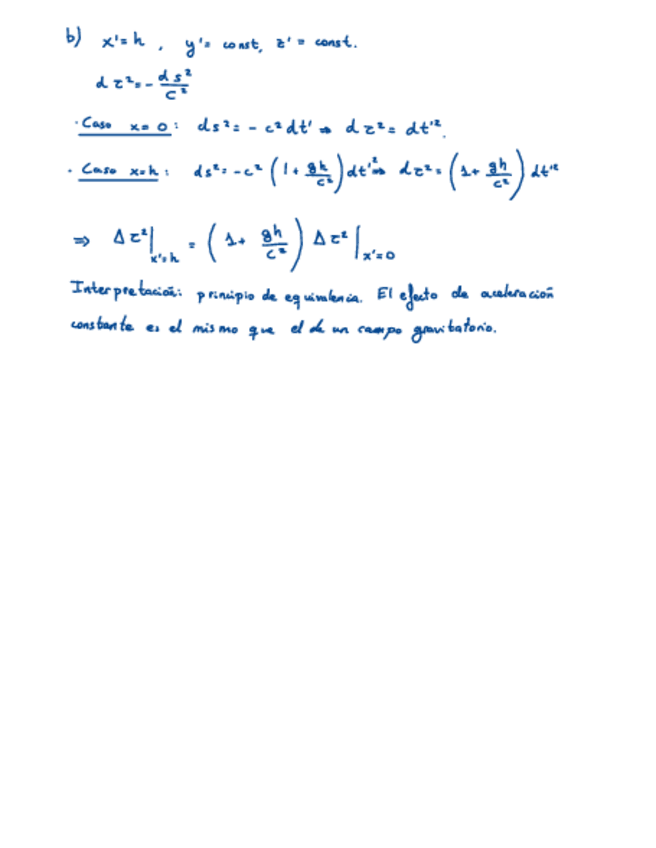
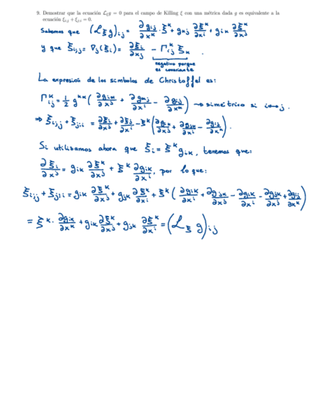
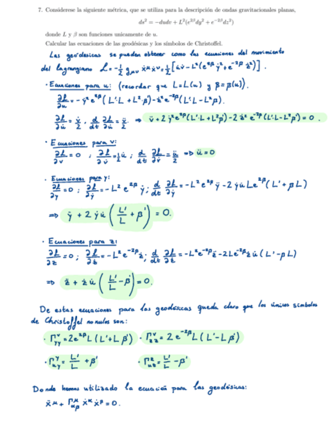
ACTUALIZADO: Corregido error en el ejercicio 8. Ejercicios de evaluación continua de la hoja 1 resueltos

10 páginas

examenes

-

Exámenes Resueltos

He publicado nuevos examenes de 4º Relatividad General y Gravitación: Exámenes Resueltos

Enero-2024-Resuelto.pdf
Enero-2024-Extra-Resuelto.pdf

Ejercicios de las Hojas 1 y 2 del Grupo A que no son de evaluación continua resueltos

15 páginas

Ejercicios de evaluación continua de la hoja 2 resueltos

8 páginas