@ruanitoo03

Bio: Hola! Me llamo Daniel, soy estudiante de Física en la UAM y subo todos mis apuntes y ejercicios resueltos por si puede ayudar a alguien.

153 Publicaciones

8.92k Interacciones

23 Seguidores

0 Siguiendo

Lista de publicaciones de ruanitoo03

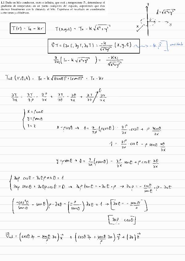
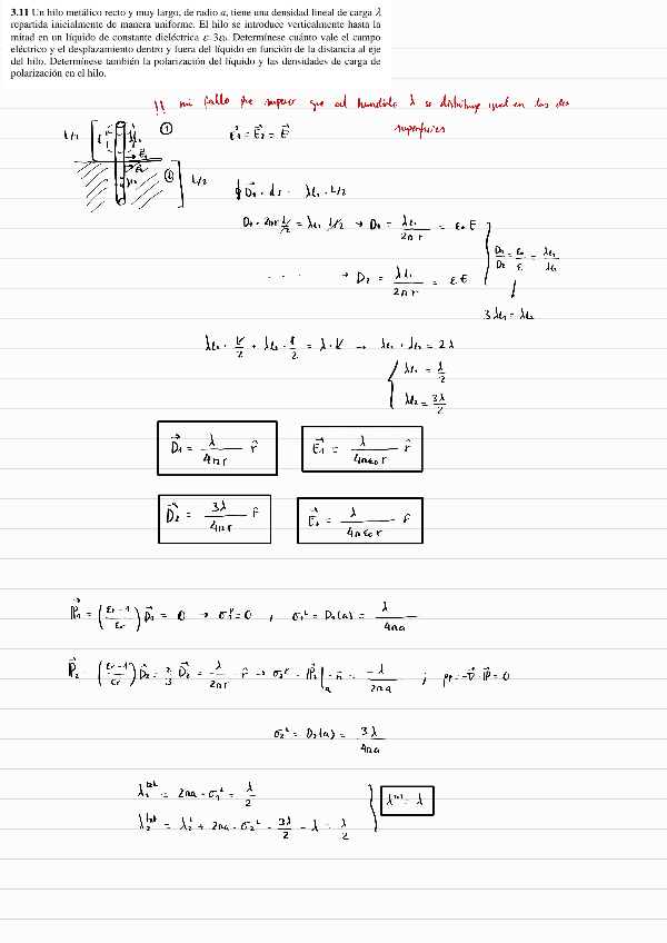
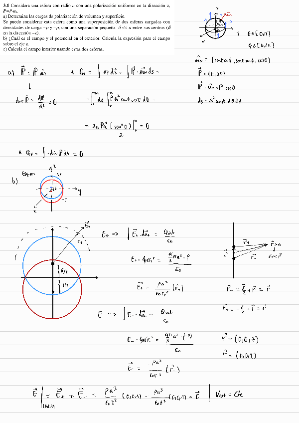
He publicado nuevos ejercicios de 2º Electromagnetismo I: ProbTema-41309616e7da1de6ed4cd851abd72a7a57221207112451.pdf

5 páginas

He publicado nuevos ejercicios de 2º Electromagnetismo I: ProbTema-42221214112330.pdf

5 páginas

He publicado nuevos ejercicios de 2º Electromagnetismo I: ProbTema-3109b96e203c3f9990922dca0530f48347221116104717.pdf

9 páginas

He publicado nuevos ejercicios de 2º Electromagnetismo I: ProbTema-32c08773963376ecffb43e5aa7a2b4edd5221123095201.pdf

5 páginas

He publicado nuevos ejercicios de 2º Electromagnetismo I: ProbTema-33ee82889b19063a8baf30f7cd781813f4221130111726.pdf

4 páginas

He publicado nuevos ejercicios de 2º Electromagnetismo I: ProbTema-24970d1e143eda95eab3890ee130a4f640221026103438.pdf

6 páginas

He publicado nuevos ejercicios de 2º Electromagnetismo I: ProbTema-2559b8497b6635be5ac612f7b2d8ebe8a2221108102800.pdf

6 páginas

He publicado nuevos ejercicios de 2º Electromagnetismo I: ProbTema-2377a34d72552e0e5f752bd88ee9c328d3221019104822.pdf

6 páginas

He publicado nuevos ejercicios de 2º Electromagnetismo I: ProbTema-21394fa5992cedc6ed6a9a3d9569a7496a220928101850.pdf

6 páginas

He publicado nuevos ejercicios de 2º Electromagnetismo I: ProbTema-221484ad255470e13ced75bf551121bcdb221005105128.pdf

10 páginas

He publicado nuevos ejercicios de 2º Electromagnetismo I: ProbTema-19f2e86ccb265adafc35710e24b07c67b220921095426.pdf

9 páginas

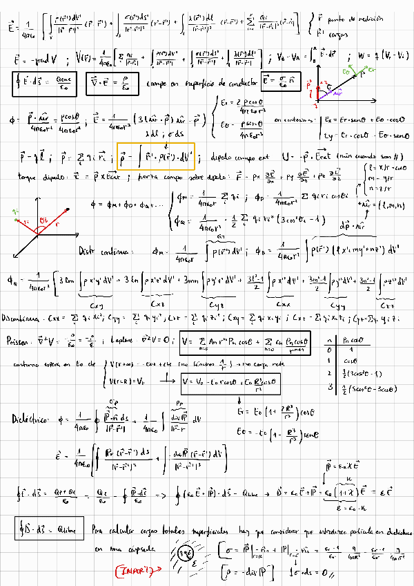
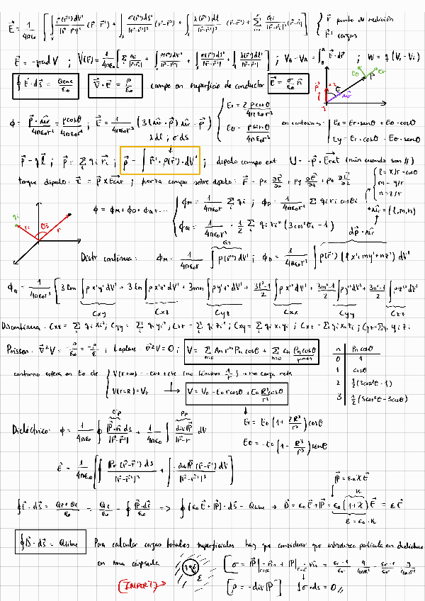
He publicado nuevos apuntes de 2º Electromagnetismo I: Formulario-Electro230120112018.pdf

3 páginas

He publicado nuevos apuntes de 2º Electromagnetismo I: Electromagnetismo-I230111004531.pdf

57 páginas

He publicado nuevos examenes de 2º Electromagnetismo I: Control-2021221028022432.pdf

9 páginas

He publicado nuevos apuntes de 2º Métodos Matemáticos I: Metodos-matematicos-I221212111907.pdf

77 páginas

He publicado nuevos ejercicios de 2º Métodos Matemáticos I: ejercicios52022-20233399e1ed4ff4a7a8c152a1cd291221223185120.pdf

41 páginas

He publicado nuevos ejercicios de 2º Métodos Matemáticos I: ejercicios1230108021848.pdf

43 páginas

He publicado nuevos ejercicios de 2º Métodos Matemáticos I: ejercicios29baa615204ba176dcaa309eb1b80fb14230112214407.pdf

43 páginas

He publicado nuevos ejercicios de 2º Métodos Matemáticos I: ejercicios32022-2023e93fe2a7a5d7118c3248953f437221031145502.pdf

40 páginas

He publicado nuevos ejercicios de 2º Métodos Matemáticos I: ejercicios42022-2023774ccb8fd9b6edb4531a9e4b48b230111131505.pdf

59 páginas