@RubiksJorge

Bio: Graduado de Matemáticas y Máster de Profesorado en la UGR

699 Publicaciones

15.12k Interacciones

2 Seguidores

0 Siguiendo

Lista de publicaciones de RubiksJorge

ejercicios

-

Ejercicios RESUELTOS

He publicado nuevos ejercicios de 4º Teoría de números y criptografía: Ejercicios RESUELTOS

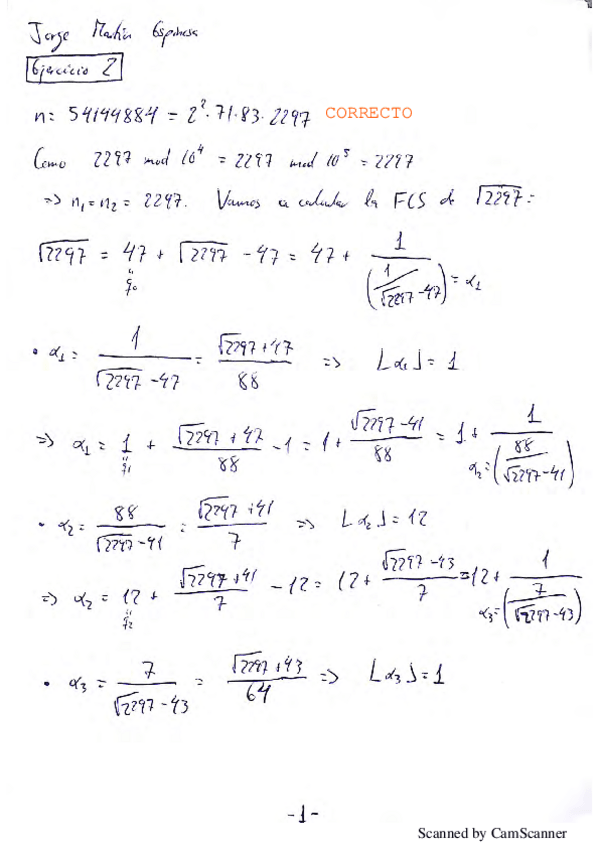
ejer2FCS.pdf
ejer7Pollard.pdf
ejer3Pell.pdf
ejer8Primalidad.pdf
ejer4Lucas.pdf
ejer9CurvElip.pdf

He publicado nuevos examenes de 4º Teoría de números y criptografía: Examen.pdf

1 página

apuntes

-

Teoría Criptografía

He publicado nuevos apuntes de 4º Teoría de números y criptografía: Teoría Criptografía

Tema3CriptosistemaRSA.pdf
Tema2ComplejidadAlgoritmica.pdf
Tema4LogaritmoDiscreto.pdf
Tema1CriptografiaSimetrica.pdf

ejercicios

-

Ejercicios resueltos en wxMaxima

He publicado nuevos ejercicios de 4º Teoría de números y criptografía: Ejercicios resueltos en wxMaxima

Miniatura no disponible
Ejercicio9.wxm
Ejercicio6.wxm
Miniatura no disponible
algoritmo-ej-5.zip
Ejercicio7.wxm
Miniatura no disponible
exp-rapida-2.zip
Miniatura no disponible
polard.zip

apuntes

-

Teoría y ejercicios

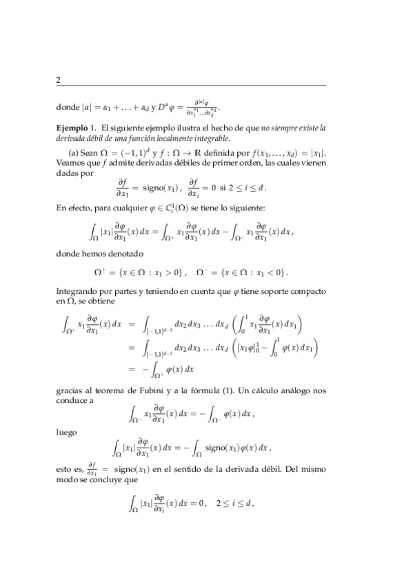
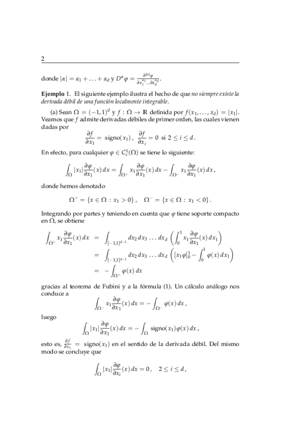
He publicado nuevos apuntes de 4º Ecuaciones en Derivadas Parciales: Teoría y ejercicios

Tema4Ec.pdf
Tema2.pdf
Tema1.pdf
Tema3Ec.pdf

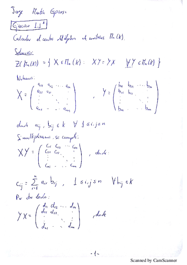
He publicado nuevos ejercicios de 4º ÁLGEBRAS, GRUPOS Y REPRESENTACIONES: EjerciciosFinal.pdf

25 páginas

He publicado nuevos apuntes de 4º ECUACIONES DIFERENCIALES EN MECÁNICA Y BIOLOGÍA: Fluido.pdf

23 páginas

ejercicios

-

Relaciones de ejercicios

He publicado nuevos ejercicios de 4º ECUACIONES DIFERENCIALES EN MECÁNICA Y BIOLOGÍA: Relaciones de ejercicios

Relacion2.pdf
Relacion1.pdf

He publicado nuevos apuntes de 3º Topología Ii: TopologiaII.pdf

136 páginas

He publicado nuevos ejercicios de 3º Modelos Matemáticos II: CVariaciones-Resueltos.pdf

21 páginas

He publicado nuevos apuntes de 3º Modelos Matemáticos II: LaxM.pdf

22 páginas

ejercicios

-

Ejercicios wxMaxima

He publicado nuevos ejercicios de 3º Métodos Numéricos Ii: Ejercicios wxMaxima

tareasesion4.pdf
Sesion1.pdf
Sesion3.pdf
tareasesion7.pdf
tareasesion7rev.pdf
tareasesion1112.pdf