@Rubilax_X

Bio: La bioinformática es la clave maestra que desbloquea el potencial de la medicina personalizada. "Incluso tostadoras con linux podrían usarse para procesamiento de datos"

42 Publicaciones

1.63k Interacciones

1 Seguidores

2 Siguiendo

Lista de publicaciones de Rubilax_X

ejercicios

-

Autoevaluación 24-25

Soluciones

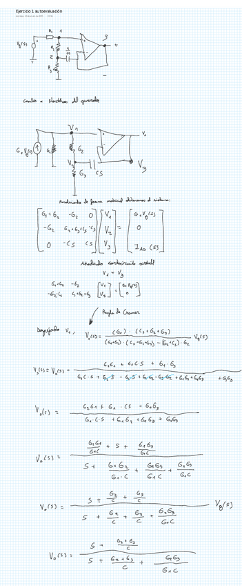
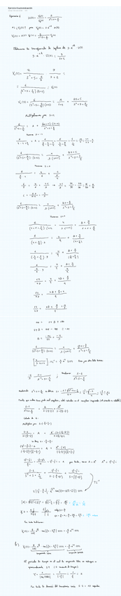
Ejercicio-1-autoevaluacion.pdf
Ejercicio-2-autoevaluacion.pdf
Ejercicio-3-autoevaluacion.pdf
Ejercicio-4-autoevaluacion.pdf
Ejercicio-5-autoevaluacion.pdf
Ejercicio-6-autoevaluacion.pdf

He publicado nuevos examenes de 2º Ampliación de Matemáticas: Segundo-Parcial-2024-Solucion.pdf

6 páginas

apuntes

-

Resumenes de cada tema

He publicado nuevos apuntes de 2º Ampliación de Matemáticas: Resumenes de cada tema

Tema-2-Condiciones-Contorno-EDO.pdf
Tema-1-Valores-iniciales-EDO.pdf
Tema-3-Introduccion-derivadas-parciales.pdf
Tema-4-Ecuaciones-calor-parabolicas.pdf
Tema-5-Ecuaciones-ondas-hiperbolicas.pdf
Tema-6-Ecuaciones-elipticas.pdf

He publicado nuevos apuntes de 1º Física II: Formulas-necesarias-Primer-parcial.pdf

6 páginas

ejercicios

-

Ejercicios Resueltos

He publicado nuevos ejercicios de 3º Redes y Sistemas Distribuidos: Ejercicios Resueltos

RelacionT1Resuelta.pdf
RelacionT2Resuelta.pdf
RelacionT3Resuelta.pdf
RelacionT4Resuelta.pdf
RelacionT5Resuelta.pdf

examenes

-

Recopilacion ejercicios tipo examen

He publicado nuevos examenes de 3º Redes y Sistemas Distribuidos: Recopilacion ejercicios tipo examen

Preguntas-parecidas-examen-final-2023-2024.pdf

ejercicios

-

Todos los ejercicios RESUELTOS

He publicado nuevos ejercicios de 1º Física II: Todos los ejercicios RESUELTOS

Relacion-de-problemas-1-Electrostatica.pdf
Relacion-de-problemas-2-Condesadores-y-dielectricos.pdf
Relacion-de-problemas-3-Corriente-electrica.pdf
Relacion-de-problemas-4-Campo-magnetico.pdf
Relacion-de-problemas-5-Fuentes-del-campo-magnetico.pdf
Relacion-de-problemas-6-Induccion-electromagnetica.pdf

He publicado nuevos examenes de 3º Genómica, proteómica y metabolómica: Primera-convocatoria-ordinaria-2024.pdf

2 páginas

He publicado nuevos apuntes de 1º Física II: Formulas-necesarias.pdf

10 páginas

examenes

-

Preguntas tipo parciales

He publicado nuevos examenes de 3º Genómica, proteómica y metabolómica: Preguntas tipo parciales

Preguntas-parte-II-Proteomica.pdf
Preguntas-parte-I-Genomica.pdf

apuntes

-

Resumenes - Apuntes

He publicado nuevos apuntes de 3º Genómica, proteómica y metabolómica: Resumenes - Apuntes

Apuntes-Parte-de-Belen.pdf
Apuntes-Parte-de-Concha.pdf

ejercicios

-

Tareas-Practica de cada tema RESUELTAS

He publicado nuevos ejercicios de 1º Física II: Tareas-Practica de cada tema RESUELTAS

Parctica-1-Tema-1.pdf
Parctica-2-Tema-1.pdf
Practica-3-Tema-2.pdf
Practica-4-Tema-3.pdf
Practica-5-Tema-4.pdf
Practica-6-Tema-56.pdf

He publicado nuevos ejercicios de 3º Genómica, proteómica y metabolómica: Problemas-sencillos-de-enzimas-de-restriccion-y-plasmidos.pdf

2 páginas