@ruperta_resumen

9 Publicaciones

1.07k Interacciones

3 Seguidores

0 Siguiendo

Lista de publicaciones de ruperta_resumen

Resumenes INOR III

45 páginas

Resumenes T1-T3

22 páginas

He publicado nuevos apuntes de 3º Análisis Instrumental: Resums-AI.pdf

90 páginas

He publicado nuevos apuntes de 1º Biología: Resumenes-bio-2.pdf

pdf

He publicado nuevos apuntes de 1º Matemáticas I: Resumenes-Mates-Pt1.pdf

3 páginas

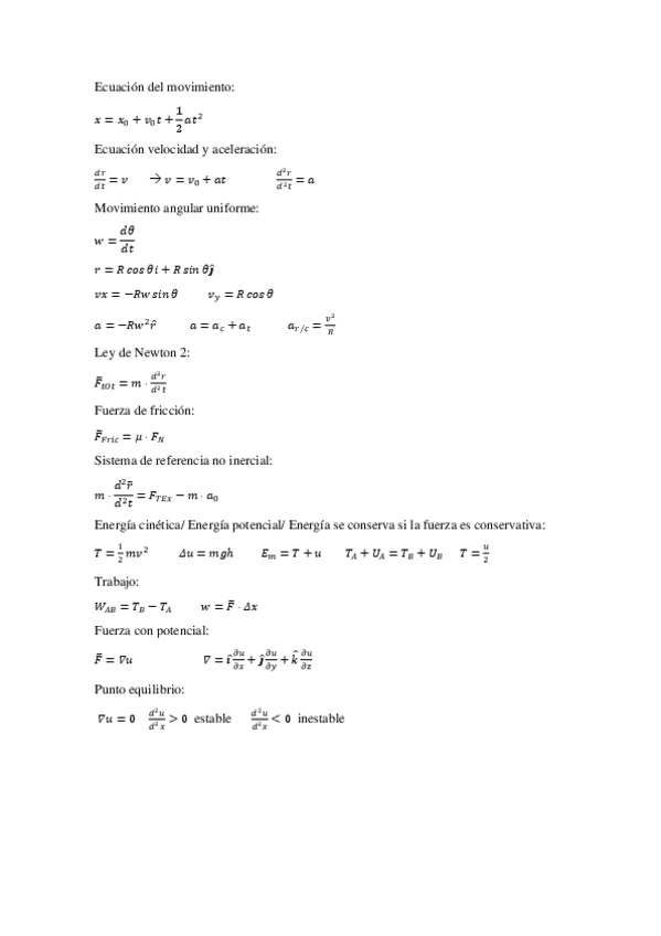
He publicado nuevos apuntes de 1º Física I: Formulario-fisica.pdf

1 página

He publicado nuevos apuntes de 1º Química Aplicada I: Resums-Nomenclatura-inorganica.pdf

7 páginas

He publicado nuevos apuntes de 1º Química Bàsica I: Resums-QB-5.pdf

30 páginas

He publicado nuevos apuntes de 1º Biología: Resumenes-Biologia.pdf

64 páginas