@Sailor_Fourier

Bio: La Sailor Moon de las telecomunicaciones, defendiendo el derecho de los estudiantes a tener apuntes desde 2021. Heaviside, ¡Dame el Poder! Si aquí no encuentras lo que buscas, prueba a pedirme por privado ;)

155 Publicaciones

12.65k Interacciones

73 Seguidores

1 Siguiendo

Lista de publicaciones de Sailor_Fourier

Hice esto basándome en exámenes de años pasados. Recopila respuestas y cosas que, aunque no hayan caído todavía, 100% pueden caer

45 páginas

He publicado nuevos apuntes de 4º Enginyeria de Microones: Parte-1-apuntes-que-faltaban.pdf

6 páginas

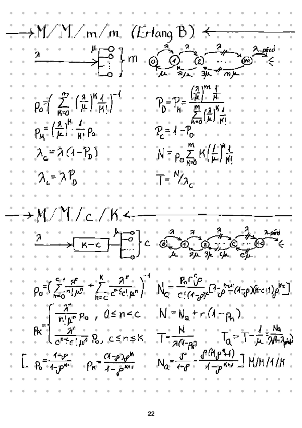
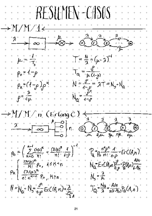
He publicado nuevos apuntes de 3º Xarxes de Telecomunicació: Parte-2-resumen-de-colas.pdf

3 páginas

He publicado nuevos apuntes de 3º Teoria de la Comunicació: Formulas-TC.pdf

9 páginas

He publicado nuevos apuntes de 4º Enginyeria de Microones: Micro-apuntes-y-ejercicios-parcial-1.pdf

38 páginas

He publicado nuevos apuntes de 3º Xarxes de Telecomunicació: Apuntes-XT-parte-2.pdf

42 páginas

He publicado nuevos apuntes de 3º Xarxes de Telecomunicació: Resumen-examen-1.pdf

17 páginas

He publicado nuevos apuntes de 3º Comunicacions Òptiques: Resumen-parcial-1.pdf

9 páginas

He publicado nuevos apuntes de 1º Fonaments d'Informàtica: Apuntes-Fonaments-dInformatica.pdf

27 páginas

He publicado nuevos apuntes de 3º Tractament Digital del Senyal: Apuntes-bloque-2-tds.pdf

33 páginas

He publicado nuevos apuntes de 3º Fonaments de Xarxes: Apuntes-bloque-2.pdf

18 páginas

He publicado nuevos examenes de 3º Gestió de Projectes i Legislació: Posibles-preguntas-gpil-parical-2.pdf

19 páginas

He publicado nuevos apuntes de 3º Gestió de Projectes i Legislació: Notas-del-seminario-de-Lechuga.pdf

9 páginas

He publicado nuevos apuntes de 3º Transmissors i Receptors de Telecomunicacions: Resumen-Examen-1.pdf

14 páginas

He publicado nuevos apuntes de 3º Tractament Digital del Senyal: Apuntes-examen-1-TDS.pdf

22 páginas

He publicado nuevos apuntes de 3º Gestió de Projectes i Legislació: Posibles-preguntas-examen-1.pdf

18 páginas

He publicado nuevos apuntes de 1º Estadística: estadistica-ib.pdf

30 páginas

He publicado nuevos apuntes de 2º Organització i Gestió d'Empreses: OGE-Teoria-P1.pdf

19 páginas

He publicado nuevos apuntes de 2º Fonaments de Comunicacions: FonCom-Digitales.pdf

4 páginas

He publicado nuevos apuntes de 2º Fonaments de Comunicacions: FONCOM-analogicas.pdf

5 páginas