@Salce2d2

95 Publicaciones

4.19k Interacciones

1 Seguidores

0 Siguiendo

Lista de publicaciones de Salce2d2

ejercicios

-

Ejercicios Bombas Resueltos

He publicado nuevos ejercicios de 3º Ingeniería Hidráulica: Ejercicios Bombas Resueltos

MH-Problema1N-B_Semejanza.pdf
MH-Problema3N-B.pdf
MH-Problema5N-B.pdf
MH-Problema7N-B.pdf
MH-Problema9N-B.pdf
MH-Problema11N-B.pdf

examenes

-

Coleccion de Examenes Resueltos

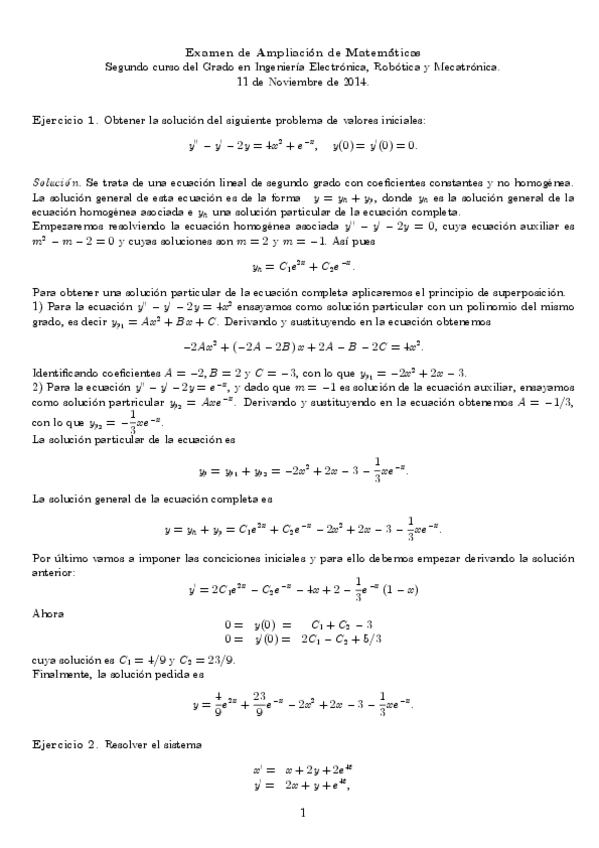
He publicado nuevos examenes de 2º Ampliación de Matemáticas: Coleccion de Examenes Resueltos

1 cov Rob 2016 Resuelto.pdf
1ª C Rob 2015 resuelto.pdf
Robótica 1P 14-15 Resuelto(1).pdf
Robótica 2P 14-15 Resuelto(1).pdf
Examen Prueba Robótica 15-16 resuelto.pdf

He publicado nuevos apuntes de 2º Resistencia de Materiales: Resumen Torsión.pdf

1 página

He publicado nuevos apuntes de 2º Resistencia de Materiales: Elasticidad y Resistencia de Materiales (2 GITI).pdf

260 páginas

examenes

-

Exámenes 2015/2016

He publicado nuevos examenes de 1º Matemáticas III: Exámenes 2015/2016

2016-06-16 Primera Convocatoria Resuelto.pdf
2015-11-26_tercera convocatoria_resuelto (1).pdf

examenes

-

Exámenes Resueltos 2015

He publicado nuevos examenes de 1º Matemáticas III: Exámenes Resueltos 2015

2015-11-26_tercera convocatoria_resuelto.pdf
2015-06-11 Primera Convocatoria Resuelto.pdf

apuntes

-

Apuntes Diédrico Directo

He publicado nuevos apuntes de 1º Expresión Gráfica: Apuntes Diédrico Directo

Angulos y triedros.pdf
Cambio de plano giro abatimientos.pdf
Interseccion de superficies.pdf
Superficies de revolucion y poliedros.pdf
Superficies regladas.pdf

apuntes

-

Diapositivas Normalización

He publicado nuevos apuntes de 1º Expresión Gráfica: Diapositivas Normalización

Miniatura no disponible
Lección 1 Principios generales de representación.ppsx
Lección 2 Cortes y Secciones.ppsx
Lección 3 Principios de acotación.ppsx
Lección 4 Tolerancias transferencia de cotas y cálculo de ajustes.ppsx
Lección 5 Ajustes y uniones roscadas.ppsx
Lección 6 Conjuntos mecánicos.ppsx

examenes

-

Colección de Exámenes Resueltos de Industriales

He publicado nuevos examenes de 1º Empresa: Colección de Exámenes Resueltos de Industriales

giti 10-11 1º.pdf
giti 10-11 2º.pdf
giti 10-11 3º.pdf
giq 10-11.pdf
convocatoria giq.pdf

practicas

-

Prácticas Resueltas

Antes de copiar y pegar la practica fijarse si no las han cambiado

practica 2.docx
practica 3.docx
practica 4.docx
practica 5.docx

apuntes

-

Apuntes Bloque:economía

He publicado nuevos apuntes de 1º Empresa: Apuntes Bloque:economía

01. Introducción.pdf
02. Entorno macroeconómico de la empresa.pdf
03. Mercados. El modelo básico de oferta y demanda.pdf