@saltacombas

Estudios: Grado en Matemáticas (UMA) ...Mostrar más

102 Publicaciones

2.91k Interacciones

2 Seguidores

1 Siguiendo

Lista de publicaciones de saltacombas

He publicado nuevos practicas de 3º Análisis Numérico: Practica-2-RESUELTA-25-26.pdf

16 páginas

He publicado nuevos practicas de 3º Inferencia Estadística: Practica-3-RESUELTA.pdf

4 páginas

He publicado nuevos practicas de 3º Inferencia Estadística: Practica-2-RESUELTA.pdf

11 páginas

He publicado nuevos practicas de 3º Análisis Numérico: Practica-1-RESUELTA-25-26.pdf

23 páginas

He publicado nuevos practicas de 3º Inferencia Estadística: Ejercicios-Practica-1-RESUELTOS.pdf

3 páginas

He publicado nuevos practicas de 3º Inferencia Estadística: Practica-1-Clase.pdf

4 páginas

He publicado nuevos apuntes de 3º Ecuaciones Diferenciales II: Relacion-1-RESUELTA.pdf

2 páginas

He publicado nuevos apuntes de 2º Geometría Diferencial de Curvas y Superficies: Enero-2026.pdf

1 página

He publicado nuevos apuntes de 3º Variable Compleja: Febrero-2026.pdf

1 página

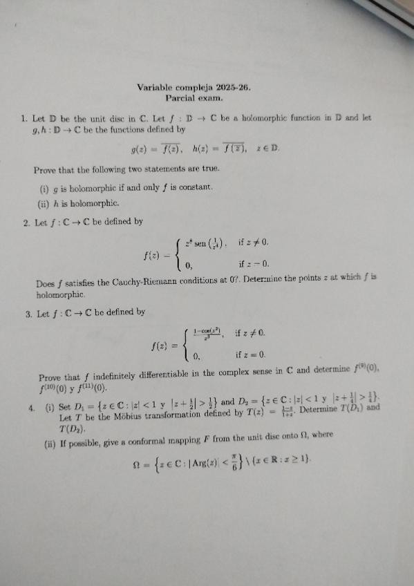
He publicado nuevos apuntes de 3º Variable Compleja: Parcial-2025.pdf

1 página

He publicado nuevos examenes de 3º Variable Compleja: Enero-2026.pdf

1 página

He publicado nuevos practicas de 3º Probabilidad: Practica-1-RESUELTA.pdf

13 páginas

He publicado nuevos apuntes de 2º Física II: Serie-4-b-RESUELTA.pdf

6 páginas

Pues eso, el test con las respuestas (gracias felipe por tus apuntes rey)

2 páginas

He publicado nuevos practicas de 2º Métodos Numéricos I: Practica-3-RESUELTA.pdf

6 páginas

He publicado nuevos apuntes de 2º Análisis Matemático Iv: Relacion-2-RESUELTA.pdf

5 páginas

He publicado nuevos apuntes de 2º Análisis Matemático Iv: Relacion-1-RESUELTA.pdf

6 páginas

He publicado nuevos practicas de 2º Métodos Numéricos I: Practica-1.2-RESUELTA.pdf

2 páginas

He publicado nuevos examenes de 2º Topología General: Febrero-2022-RESUELTO.pdf

5 páginas

He publicado nuevos examenes de 2º Topología General: Enero-2025-RESUELTO.pdf

6 páginas