@SamElOcurrente

Bio: Estudié en Granada, y ahora hago lo que me da la gana. Buenas tardes.

9 Publicaciones

188 Interacciones

2 Seguidores

0 Siguiendo

Lista de publicaciones de SamElOcurrente

apuntes

-

Int. Línea y Superficie + Prob. Res.

He publicado nuevos apuntes de 1º Análisis Matemático II: Int. Línea y Superficie + Prob. Res.

Line-Integrals-and-Integral-Theorems.pdf
Line-Integrals-Conservative-Fields-and-Integral-Theorems-Solutions.pdf
Line-Integrals-Conservative-Fields-and-Integral-Theorems-Problems.pdf

apuntes

-

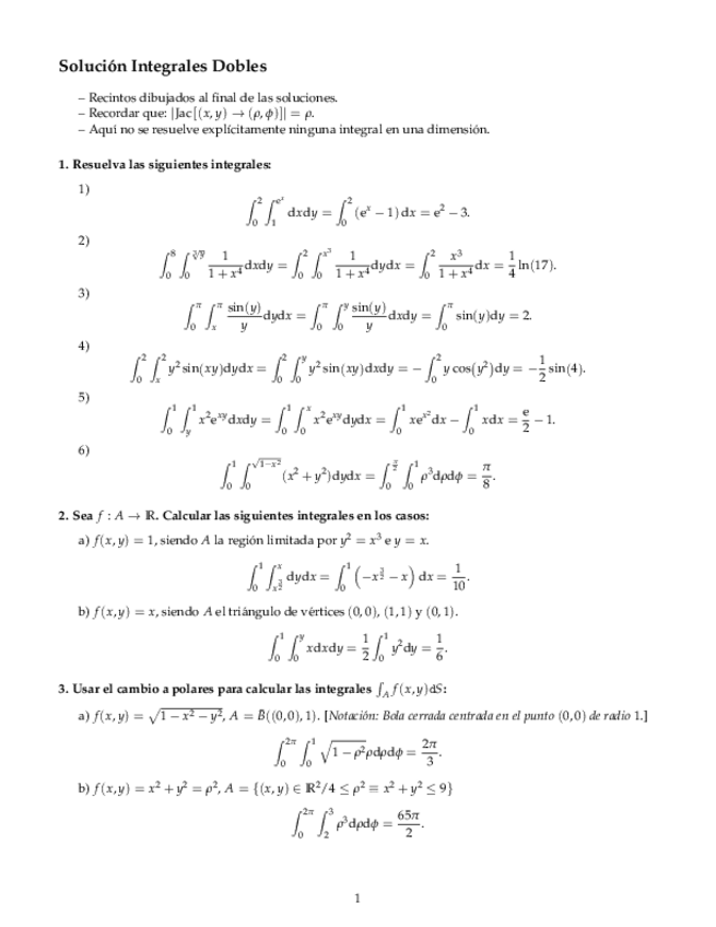
Integ. Múltiples + Problemas Resueltos

He publicado nuevos apuntes de 1º Análisis Matemático II: Integ. Múltiples + Problemas Resueltos

SolIntDobles.pdf
Riemann-Integral-Problems.pdf
Riemann-Integral.pdf
Riemann-Integral-Solutions.pdf
Integrales-Dobles.pdf

He publicado nuevos apuntes de 2º Métodos Matemáticos II: Diff-Notes.pdf

38 páginas