@SAMU_APR

Estudios: Grado en Matemáticas (UGR) ...Mostrar más

Bio: Un equipo de 5 (aunque trabajemos 2) que se curra los pdfs para vosotros

14 Publicaciones

2.19k Interacciones

11 Seguidores

0 Siguiendo

Lista de publicaciones de SAMU_APR

He publicado nuevos apuntes de 4º Álgebra Moderna: Apuntes-Moderna.pdf

74 páginas

He publicado nuevos apuntes de 3º Algebra Iii: PosterAlgebraIII.pdf

10 páginas

He publicado nuevos apuntes de 3º Algebra Iii: Apuntes todo el curso.pdf

73 páginas

He publicado nuevos apuntes de 3º Métodos Numéricos Ii: Apuntes-Metodos.pdf

17 páginas

He publicado nuevos apuntes de 3º Modelos Matemáticos II: Apuntes-Modelos.pdf

30 páginas

He publicado nuevos ejercicios de 2º Geometría III: Relacion1-GeometriaIII.pdf

9 páginas

He publicado nuevos ejercicios de 2º Geometría III: Relacion2-GEOMETRIAIII.pdf

14 páginas

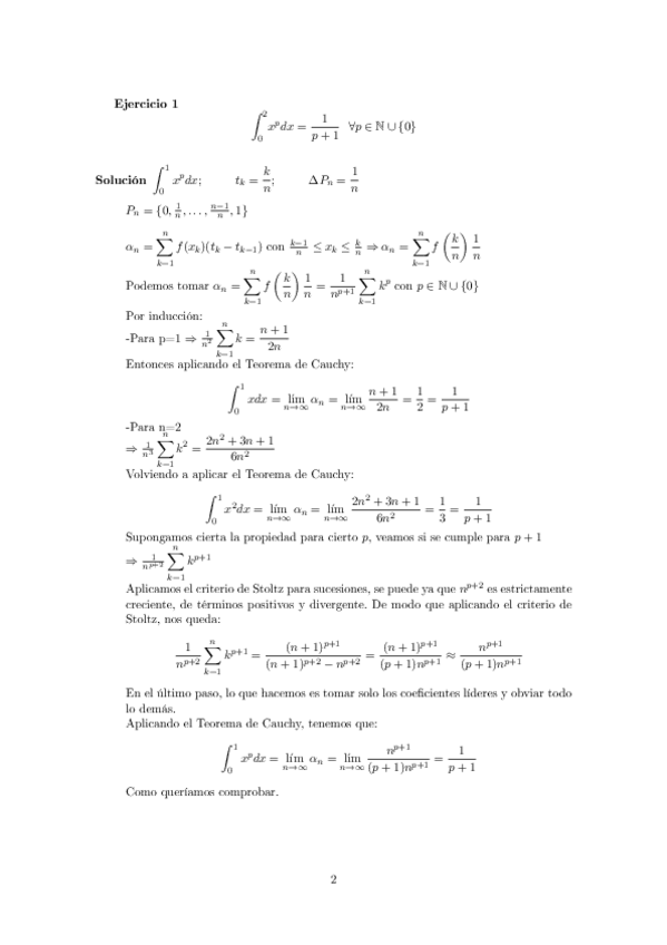
He publicado nuevos ejercicios de 1º Cálculo II: Relacion-6.pdf

40 páginas

He publicado nuevos ejercicios de 1º Cálculo II: Relacion-Integrales.pdf

23 páginas

He publicado nuevos ejercicios de 1º Cálculo II: Relacion-Taylor.pdf

9 páginas

ejercicios

-

Respuestas test y ejercicios en maxima

He publicado nuevos ejercicios de 1º Métodos Numéricos I: Respuestas test y ejercicios en maxima

18.zip
Preguntas-y-respuestas-Tema-1.pdf
19-y-20.zip
Preguntas-y-respuestas-Tema-2.pdf