@Santi_UwU

Bio: Owowowo claro k si sabe k tengo un pikete espacial

55 Publicaciones

1.73k Interacciones

5 Seguidores

0 Siguiendo

Lista de publicaciones de Santi_UwU

He publicado nuevos apuntes de 3º Tecnología Energética: TeoriaPartedos.pdf

8 páginas

ejercicios

-

Ejercicios resueltos UwU

Con esto apruebas la asignatura de sobra vamos. Es facilisima

Problemas-Comportamiento-Mecanico.pdf
Problemas-Diagramas-De-Equilibrio.pdf
Preguntas-Acero.pdf
Problemas-cristalografia-resueltos.pdf
Problemas-ley-de-Fick.pdf

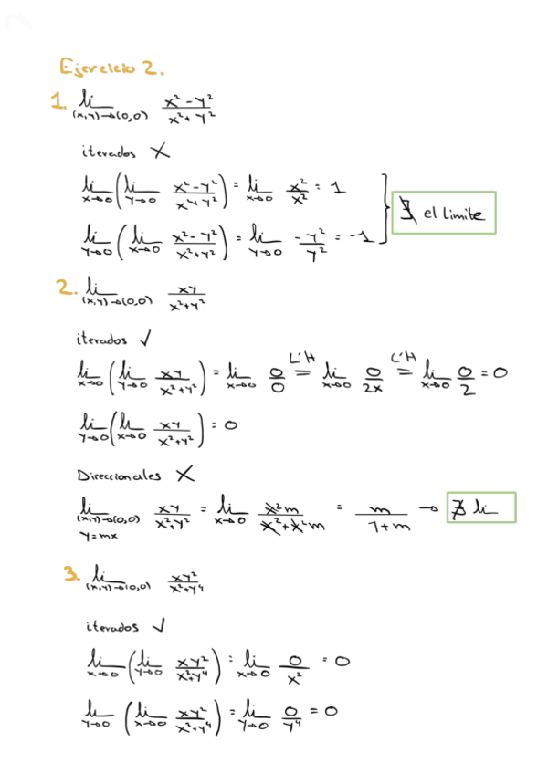
creo k hay alguna cuenta mal en el ej 2

8 páginas

He publicado nuevos apuntes de 3º Instalaciones y Maquinas Hidráulicas: Teoria23-24.pdf

19 páginas

Está corregido con un 9/10 lo único k falta es algún cálculo extra como el rendimiento de bomba x ejemplo

11 páginas

No garantizo que ni un solo ejercicio este bien xd

57 páginas

He publicado nuevos ejercicios de 1º Matemáticas III: Ejercicios-clase.pdf

28 páginas

He publicado nuevos apuntes de 1º Matemáticas III: Resumen.pdf

4 páginas

apuntes

-

apuntes

Lo que copie en clase

Tema-3-integrales-multiples.pdf
Tema-2-segunda-parte-derivadas-parciales-y-la-diferencial.pdf
Tema-6-integrales-de-superficie.pdf
Tema-5-integrales-de-linea.pdf
Tema-1-funciones-de-varias-variables.pdf
Tena-4-geometria-diferencial.pdf

examenes

-

Examenes resueltos

Los examenes de 2018, febrero de 2021 y septiembre de 2020 están bien, del resto no me hago responsable

Exemen-febrero-2020.pdf
febrero-2018.pdf
Septiembre-2018.pdf
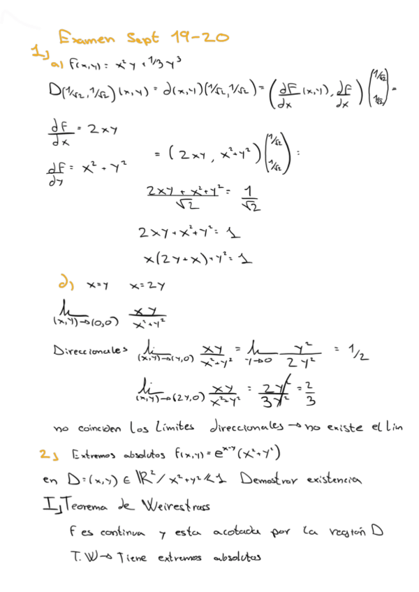
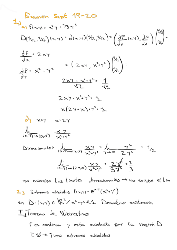
Septiembre-2020.pdf
Examen-febrero-2021.pdf

examenes

-

Preguntas Teóricas esquemas

He publicado nuevos examenes de 2º Recursos Energéticos y Tecnología de los Combustibles: Preguntas Teóricas esquemas

Preguntas-primera-parte.pdf
Preguntas-segunda-parte.pdf

He publicado nuevos apuntes de 2º Electrónica: Examen-septiembre-2022-resuelto-paso-x-paso.pdf

7 páginas

apuntes

-

Ejercicios clase

Son los ejercicios que he copiado en clase

Ejercicios-amplificador-operacional.pdf
Ejercicios-B.-J.-T.pdf
Ejercicios-circuitos-digitales-combinacionales.pdf
Ejercicios-circuitos-digitales-secuenciales-amm.pdf
Ejercicios-MOSFET.pdf
Teoria--ejercicios-semiconductores.pdf

apuntes

-

Apuntes asignatura

Lo que he copiao en clase

Apuntes-primer-parcial.pdf
apuntes-segundo-parcial.pdf

He publicado nuevos ejercicios de 1º Matemáticas II: Coleccion-de-ejercicios-resueltos-del-Adams.pdf

53 páginas

He publicado nuevos apuntes de 2º Termodinámica: Preguntas-Teoria.pdf

5 páginas

He publicado nuevos examenes de 2º Termodinámica: Examen-febrero-2022-resuelto.pdf

5 páginas

He publicado nuevos examenes de 2º Termodinámica: Examen-septiembre-2021-resuelto.pdf

5 páginas

He publicado nuevos examenes de 2º Termodinámica: Examen-enero-2021.pdf

4 páginas