@Sarifer

162 Publicaciones

710 Interacciones

6 Seguidores

0 Siguiendo

Lista de publicaciones de Sarifer

apuntes

-

Resumen Teórico B (conducción)

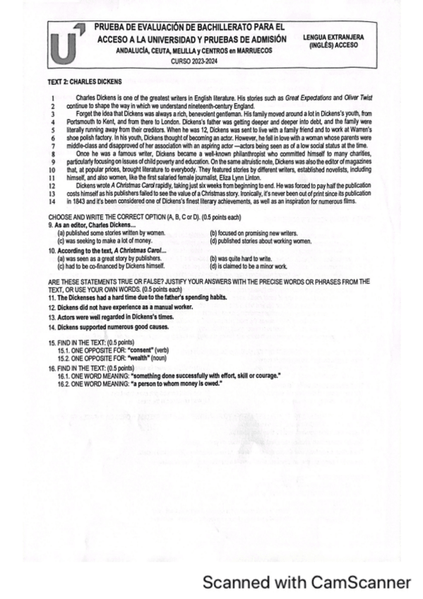
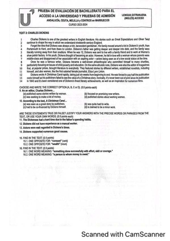
He publicado nuevos apuntes de Apuntes Variados: Resumen Teórico B (conducción)

Resumen-Teorico-permiso-B-coche.pdf
Resumen-Teorico-permiso-B-coche.pdf
Resumen-Teorico-permiso-B-coche.pdf
VELOCIDADES-coche.pdf
VELOCIDADES-coche.pdf
VELOCIDADES-coche.pdf

apuntes

-

TEMAS DE QUÍMICA

He publicado nuevos apuntes de Química: TEMAS DE QUÍMICA

TEMA-1-El-atomo.pdf
TEMA-1-El-atomo.pdf
TEMA-1-El-atomo.pdf
TEMA-2-Enlace-quimico.pdf
TEMA-2-Enlace-quimico.pdf
TEMA-2-Enlace-quimico.pdf

He publicado nuevos examenes de Química: Examenes-resueltos-tipo-PEvAU-selectividad.pdf

12 páginas

He publicado nuevos examenes de Química: Examenes-resueltos-de-quimica-clase.pdf

12 páginas

He publicado nuevos apuntes de Química: Tabla-periodica-y-de-numeros-de-oxidacion.pdf

2 páginas

apuntes

-

Distribución de probabilidad

He publicado nuevos apuntes de Matemáticas aplicadas a las Ciencias Sociales II: Distribución de probabilidad

Resumen-distribucion-de-probabilidad.pdf
Resumen-distribucion-de-probabilidad.pdf
Resumen-distribucion-de-probabilidad.pdf
Ejercicios-distribucion-de-probabilidad-I.pdf
Ejercicios-distribucion-de-probabilidad-I.pdf
Ejercicios-distribucion-de-probabilidad-I.pdf

apuntes

-

Probabilidad

He publicado nuevos apuntes de Matemáticas aplicadas a las Ciencias Sociales II: Probabilidad

Resumen-de-probabilidad-y-ejercicios.pdf
Resumen-de-probabilidad-y-ejercicios.pdf
Resumen-de-probabilidad-y-ejercicios.pdf
Ejercicios-para-hacer-de-probabilidad.pdf
Ejercicios-para-hacer-de-probabilidad.pdf
Ejercicios-para-hacer-de-probabilidad.pdf

apuntes

-

funciones, derivadas, integrales

He publicado nuevos apuntes de Matemáticas aplicadas a las Ciencias Sociales II: funciones, derivadas, integrales

Resumen-de-funciones-derivadas-integrales.pdf
Resumen-de-funciones-derivadas-integrales.pdf
Resumen-de-funciones-derivadas-integrales.pdf
Pasos-a-seguir-en-un-problema-de-funcion.pdf
Pasos-a-seguir-en-un-problema-de-funcion.pdf
Pasos-a-seguir-en-un-problema-de-funcion.pdf

ejercicios

-

Programación lineal

He publicado nuevos ejercicios de Matemáticas aplicadas a las Ciencias Sociales II: Programación lineal

Ejercicios-para-hacer-de-programacion-lineal.pdf
Ejercicios-para-hacer-de-programacion-lineal.pdf
Ejercicios-para-hacer-de-programacion-lineal.pdf
Ejemplos-de-ejercicios-de-Programacion-Lineal.pdf
Ejemplos-de-ejercicios-de-Programacion-Lineal.pdf
Ejemplos-de-ejercicios-de-Programacion-Lineal.pdf

apuntes

-

Matrices

He publicado nuevos apuntes de Matemáticas aplicadas a las Ciencias Sociales II: Matrices

Resumen-de-matrices.pdf
Resumen-de-matrices.pdf
Resumen-de-matrices.pdf
Ejercicios-para-hacer-de-matrices.pdf
Ejercicios-para-hacer-de-matrices.pdf
Ejercicios-para-hacer-de-matrices.pdf

He publicado nuevos examenes de Matemáticas aplicadas a las Ciencias Sociales II: Examen-PEvAU-Matematicas-ciencias-sociales-2024.pdf

3 páginas

He publicado nuevos examenes de Matemáticas aplicadas a las Ciencias Sociales II: Ejercicios-de-Examen-PEvAU-resuelto-2023.pdf

24 páginas

apuntes

-

Tema 5 Modals and modals perfects

He publicado nuevos apuntes de Inglés: Tema 5 Modals and modals perfects

Tema-5-Modals-and-modals-perfects-y-vocabulario-ingles.pdf
Tema-5-Modals-and-modals-perfects-y-vocabulario-ingles.pdf
Tema-5-Modals-and-modals-perfects-y-vocabulario-ingles.pdf
Ejercicios-modals-and-modals-perfects-ingles.pdf
Ejercicios-modals-and-modals-perfects-ingles.pdf
Ejercicios-modals-and-modals-perfects-ingles.pdf

apuntes

-

Tema 4 relative clauses

He publicado nuevos apuntes de Inglés: Tema 4 relative clauses

Tema-4-relative-clauses-defining-non-defining-y-vocabulario-ingles.pdf
Tema-4-relative-clauses-defining-non-defining-y-vocabulario-ingles.pdf
Tema-4-relative-clauses-defining-non-defining-y-vocabulario-ingles.pdf
Ejercicios-de-relative-clauses-ingles.pdf
Ejercicios-de-relative-clauses-ingles.pdf
Ejercicios-de-relative-clauses-ingles.pdf

apuntes

-

Tema 3 Pasiva (impersonal y causativa)

He publicado nuevos apuntes de Inglés: Tema 3 Pasiva (impersonal y causativa)

Tema-3-Pasiva-impersonal-y-causativa-ingles.pdf
Tema-3-Pasiva-impersonal-y-causativa-ingles.pdf
Tema-3-Pasiva-impersonal-y-causativa-ingles.pdf
Vocabulario-Tema-3-Pasiva-ingles.pdf
Vocabulario-Tema-3-Pasiva-ingles.pdf
Vocabulario-Tema-3-Pasiva-ingles.pdf

apuntes

-

Tema 2 Condicionales

He publicado nuevos apuntes de Inglés: Tema 2 Condicionales

Tema-2-Condicionales-ingles.pdf
Tema-2-Condicionales-ingles.pdf
Tema-2-Condicionales-ingles.pdf
Ejercicios-de-condicionales-y-WISHES-ingles.pdf
Ejercicios-de-condicionales-y-WISHES-ingles.pdf
Ejercicios-de-condicionales-y-WISHES-ingles.pdf

apuntes

-

Tema 1 Tiempos verbales

He publicado nuevos apuntes de Inglés: Tema 1 Tiempos verbales

Tema-1-Tiempos-verbales-y-vocabulario-ingles.pdf
Tema-1-Tiempos-verbales-y-vocabulario-ingles.pdf
Tema-1-Tiempos-verbales-y-vocabulario-ingles.pdf

He publicado nuevos apuntes de Inglés: Writing-ingles-conectores-y-modelos-para-selec.pdf

2 páginas

He publicado nuevos examenes de Inglés: Examen-PEvAU-ingles-2024.pdf

3 páginas

He publicado nuevos apuntes de Inglés: Gerundios-e-infinitivos-ingles.pdf

1 página