@sarrikoade

4.15 € • 3.99k EXP

15 Publicaciones

619 Interacciones

3 Seguidores

0 Siguiendo

Lista de publicaciones de sarrikoade

examenes

-

Examenes mate

Parciales y finales

1-Partziala-2021-A.pdf
1-Parcial-2020-A.pdf
Junio-2023.pdf
1-parcial-2019.pdf
enero-2021.pdf
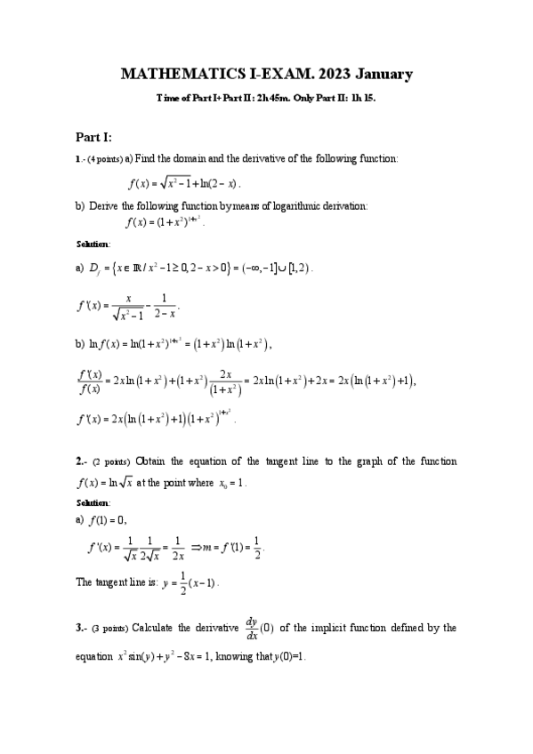
enero-2023.pdf

examenes

-

INTRO MICROECONOMÍA

He publicado nuevos examenes de 1º Introducción a la Economía I: Principios de Microeconomía: INTRO MICROECONOMÍA

examenes-finales-micro-1-1.pdf

examenes

-

INTRO MACROECONOMÍA

He publicado nuevos examenes de 1º Introducción a la Economía II: Principios de Macroeconomía: INTRO MACROECONOMÍA

recu-macro-2023.pdf
Mayo-2017-Cast.pdf
examen-ordinario-macro-2023.pdf
Maiatza-2017-Eusk.pdf
Mayo-2020-Cast.pdf

He publicado nuevos apuntes de 1º Historia Económica: RESUMEN-ASIGNATURA-COMPLETA.pdf

37 páginas