@sawyer_gii

22 Publicaciones

921 Interacciones

7 Seguidores

2 Siguiendo

Lista de publicaciones de sawyer_gii

He publicado nuevos apuntes de 2º Programación Orientada a Objetos: Programacion-Orientada-a-Objetos.pdf

55 páginas

He publicado nuevos examenes de 3º Teoría de Autómatas y Lenguajes Formales: ExamentalfJunio25.pdf

1 página

He publicado nuevos examenes de 3º Teoría de Autómatas y Lenguajes Formales: ExamentalfJunio24.pdf

2 páginas

He publicado nuevos apuntes de 2º Análisis de Algoritmos y Estructuras de Datos: TAD-Pila.pdf

4 páginas

Los algoritmos proporcionados que implementan la búsquedas han sido probados.

6 páginas

He publicado nuevos apuntes de 2º Análisis de Algoritmos y Estructuras de Datos: Bloque-de-Analisis-Completo.pdf

8 páginas

He publicado nuevos apuntes de 2º Análisis de Algoritmos y Estructuras de Datos: Tema-2-Teoria-y-Ejercicios-Explicados.pdf

2 páginas

He publicado nuevos apuntes de 2º Análisis de Algoritmos y Estructuras de Datos: Teoria-Temas-0-y-1.pdf

3 páginas

He publicado nuevos examenes de 2º Arquitectura de Computadores: Solucion-cache-junio-2022.pdf

2 páginas

He publicado nuevos apuntes de 1º Metodología de la Programación: Analisis-de-Algoritmos-Teoria-y-Examenes.pdf

6 páginas

He publicado nuevos apuntes de 2º Sistemas Distribuidos: Sistemas-Distribuidos-Teoria-Completa.pdf

51 páginas

He publicado nuevos apuntes de 2º Redes de Computadores: Preparacion-Analisis-de-Trafico.pdf

8 páginas

apuntes

-

Ejercicios de Todos los Temas

He publicado nuevos apuntes de 1º Cálculo: Ejercicios de Todos los Temas

Ejercicios-de-Funciones-en-VARIAS-Variables.pdf
Ejercicios-de-Funciones-de-Una-Variable.pdf
Ejercicios-de-Series.pdf
Ejercicios-de-Sucesiones.pdf
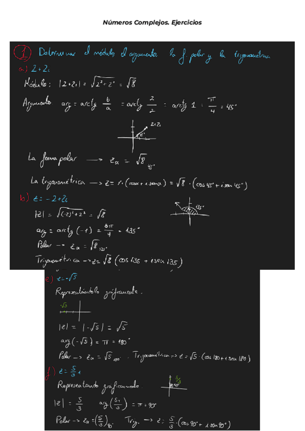
Ejercicios-de-Numeros-Complejos.pdf

He publicado nuevos apuntes de 1º Cálculo: Todo resumido. Ejercicios de Examen y alguno que otro interesante(APROBADO).pdf

39 páginas

He publicado nuevos practicas de 1º Introducción a la Programación: Practica-4-Ejercicios-del-39-al-42.pdf

8 páginas

He publicado nuevos practicas de 1º Introducción a la Programación: Practica-4-Ejercicio-29.pdf

5 páginas

He publicado nuevos practicas de 1º Introducción a la Programación: Practica-4-Ejercicio-39.pdf

2 páginas

He publicado nuevos examenes de 1º Introducción a la Programación: Ejercicio-2-Junio-2022-Memoria Dinámica-IP.pdf

2 páginas