@selectivitat14

Estudios: Grado en Logopedia (UAB) ...Mostrar más

Bio: Hola! Aquí trobareu els meus apunts de segon de batxillerat i selectivitat. Amb aquests apunts vaig obtenir una mitjana de 9,6 a segon de batxillerat i matrícula d’honor. Espero que us siguin molt útils!!!

50 Publicaciones

267 Interacciones

11 Seguidores

0 Siguiendo

Lista de publicaciones de selectivitat14

apuntes

-

Psicologia_4,5,6

He publicado nuevos apuntes de 1º Psicología: Psicologia_4,5,6

Bloc-4Desenvolupament-socioafectiurevisat.pdf
Bloc-5Desenvolupament-familiar-i-escolar.pdf
Bloc-6El-desenvolupament-de-la-personalitat-i-psicosexual.pdf

apuntes

-

Física

He publicado nuevos apuntes de 2º Física: Física

FISICA8AUTOAVALUACIO.pdf
FISICA8.pdf
FISICA7.pdf
FISICA6.pdf
FISICA5AVALUACIO.pdf
FISICA5.pdf

He publicado nuevos apuntes de 1º Introducción a la Metodología Científica y a los Procesos Psicológicos Básicos: MOTIVACIO-T4.pdf

12 páginas

He publicado nuevos apuntes de 1º Introducción a la Metodología Científica y a los Procesos Psicológicos Básicos: Condicionament-i-Aprenentatge-T3.pdf

20 páginas

He publicado nuevos apuntes de Ciencias de la Tierra y del Medio Ambiente: Tema-3-Dinamica-i-Riscos-Atmosferics.pdf

24 páginas

¡TODOS los FILÓSOFOS de SELECTIVIDAD! ya están disponibles en mi perfil. Corre y ve a mirarlo.

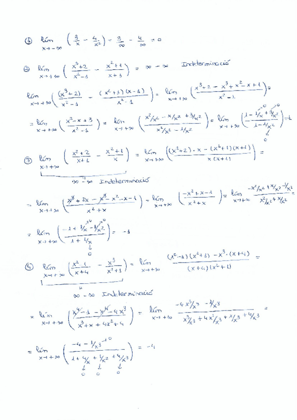
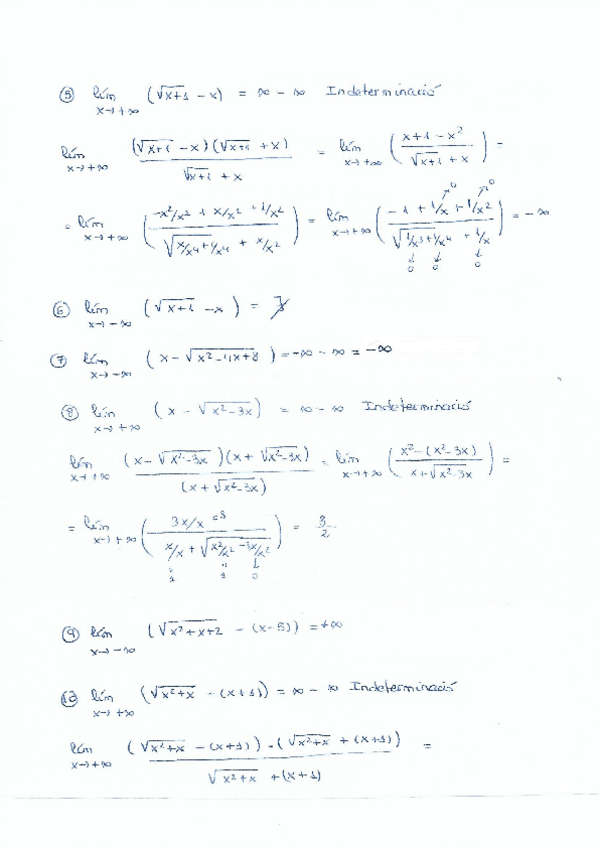
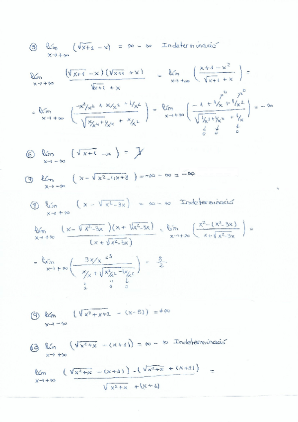
He publicado nuevos ejercicios de 2º Matemáticas II: Ejercicios-limites.pdf

1 página

He publicado nuevos ejercicios de 2º Matemáticas II: Ejercicios-limites-SOLUCIONS.pdf

3 páginas

He publicado nuevos apuntes de 2º Matemáticas II: Mates-Limits-i-continuitat.pdf

29 páginas

apuntes

-

Psicologia Evolutiva I

He publicado nuevos apuntes de 2º Psicología: Psicologia Evolutiva I

Bloc-1--Psicologia-Evolutiva-I.pdf
Bloc-2--Psicologia-Evolutiva-I.pdf
Bloc-3-Desevolupament-cognitiu.pdf
Bloc-3-Desevolupament-cognitiu.pdf
Bloc-2--Psicologia-Evolutiva-I.pdf
Bloc-1--Psicologia-Evolutiva-I.pdf

apuntes

-

Lingüística

He publicado nuevos apuntes de Lengua Catalana y Literatura II: Lingüística

Linguistica-3.2.-Analisi-morfologica.pdf
Linguistica-3.1.-Lestructura-de-les-paraules.pdf
Linguistica-2.-Origen-i-evolucio-del-llenguatge.pdf
Linguistica-1.2.-La-naturalesa-del-llenguatge.pdf
Linguistica-1.1.-Marc-teoric-i-conceptes-basics.pdf

apuntes

-

Introducció a la metodologia científica (T1 i T2)

He publicado nuevos apuntes de 1º Cultura científica: Introducció a la metodologia científica (T1 i T2)

1T1.pdf
2T2.pdf

He publicado nuevos apuntes de 2º Historia de España: HISTÒRIA-D'ESPANYA.pdf

64 páginas

He publicado nuevos apuntes de Ciencias de la Tierra y del Medio Ambiente: CTMA-TEMA-2-ATMOSFERA-I-CLIMES.pdf

43 páginas

ejercicios

-

Qüestionari UD2 Descartes

He publicado nuevos ejercicios de Historia de la Filosofía: Qüestionari UD2 Descartes

Questionari-UD2-Descartes.docx
Questionari-UD2-Descartesrespostes.pdf

apuntes

-

TODOS LOS FILÓSOFOS - POWERPOINT

He publicado nuevos apuntes de Historia de la Filosofía: TODOS LOS FILÓSOFOS - POWERPOINT

UD7Nietzsche.pdf
UD6Mill.pdf
UD5Kant.pdf
UD4Locke.pdf
UD3Hume.pdf
UD2Descartes.pdf