@SFH

331 Publicaciones

24.41k Interacciones

11 Seguidores

0 Siguiendo

Lista de publicaciones de SFH

examenes

-

PREGUNTAS DE EXAMEN

He publicado nuevos examenes de 5º Practicas Tuteladas: PREGUNTAS DE EXAMEN

Preguntas examen.pdf
preguntas 1.pdf
Cuestionario examen OF.pdf
Examen Abril 2011.pdf

examenes

-

examenes

He publicado nuevos examenes de 5º Practicas Tuteladas: examenes

Examen Abril 2011.pdf
Cuestionario examen OF.pdf
preguntas 1.pdf
Preguntas examen.pdf

He publicado nuevos ejercicios de 1º Documentacion y Metodologia Cientifica: cuaderno_de_actividades_farmacia_2011_2012[1].pdf

16 páginas

examenes

-

examenes

He publicado nuevos examenes de 1º Apuntes Variados: examenes

Miniatura no disponible
__EX_QF_GENER15.pdf.uos
Exxmenes_anteriores.pdf

apuntes

-

temario completo nutricion

He publicado nuevos apuntes de 3º Nutrición y Bromatología: temario completo nutricion

NUT Y BROMATO.pdf
NUTRI.pdf

He publicado nuevos examenes de 5º Dermofarmacia: Ejemplo examen modelo.pdf

6 páginas

apuntes

-

TEMARIO 1º SEMESTRE Y TABLAS DEL 2º SEMESTRE DE MICRO

He publicado nuevos apuntes de 2º Microbiología: TEMARIO 1º SEMESTRE Y TABLAS DEL 2º SEMESTRE DE MICRO

micro 1º semestre.output.pdf
FAMILIA.output.pdf
Hepatitis.output.pdf
VIROLOGIA TEMA 9.output.pdf
VIRUS CON ADN.output.pdf
Virus de inter├®s cl├¡nico.output.pdf

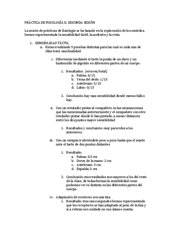
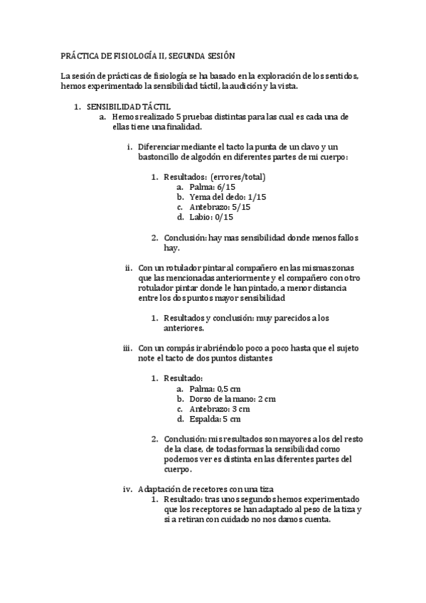
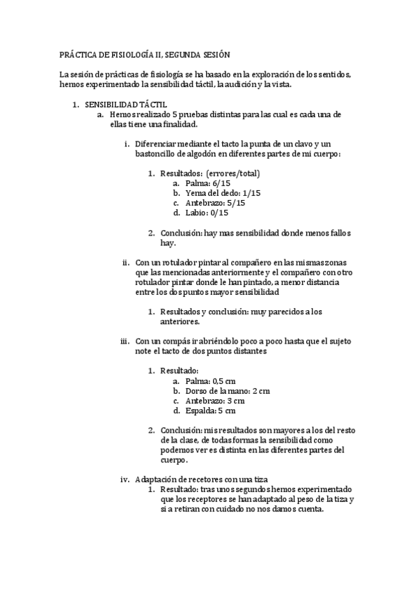
He publicado nuevos apuntes de 2º Fisiología II: PRÁCTICA DE FISIOLOGÍA II.output.pdf

2 páginas

examenes

-

EXAMENES DE INMUNOLOGIA

He publicado nuevos examenes de 2º Inmunología: EXAMENES DE INMUNOLOGIA

EXÁMENES INMUNOLOGÍA.output.pdf
examenes inmuno.output.pdf
EXÁMENES INMUNOLOGIA.pdf
inmuno exam.output.pdf
Preguntas tipo examen INMUNOLOGíA.odt
Test diagnostico inmunologico.odt

He publicado nuevos apuntes de 2º Química Orgánica: principales reacciones de quimica organica.pdf

10 páginas

He publicado nuevos apuntes de 2º Microbiología: fotos de practicas.pdf

22 páginas

He publicado nuevos apuntes de 2º Fisiología II: PRÁCTICA DE FISIOLOGÍA II.output.pdf

2 páginas

He publicado nuevos examenes de 2º Microbiología: todos los examenes de micro en un documento.pdf

58 páginas

He publicado nuevos examenes de 2º Fisiología II: EXAMENES DE FISIO.pdf

23 páginas

apuntes

-

temas en tablas de medicamentos del tema 20 al 29

He publicado nuevos apuntes de 5º Farmacoterapia: temas en tablas de medicamentos del tema 20 al 29

tema 20-21.1.output.pdf
tema 20-21.3.output.pdf
tema 20-21.4.output.pdf
tema 20-21.5.output.pdf
tema 20-21.6.output.pdf
tema 20-22.2.output.pdf

apuntes

-

todos los temas en tablas de medicamentos del 10-->19

He publicado nuevos apuntes de 5º Farmacoterapia: todos los temas en tablas de medicamentos del 10-->19

tema 10.19.10.output (1).pdf
tema 10-19.1.output.pdf
tema 10-19.2.output.pdf
tema 10-19.3.output.pdf
tema 10-19.4.output.pdf
tema 10-19.5.output (1).pdf

apuntes

-

resumen de todos los temas de analisis micro a mano

He publicado nuevos apuntes de 4º Análisis Microbiológicos y Parasitológicos: resumen de todos los temas de analisis micro a mano

tema 2.output.pdf
tema 3.output.pdf
tema 4.output.pdf
tema 5.1.output.pdf
tema 5.2.output.pdf
tema 5.3.output.pdf

apuntes

-

tablas de medicamentos del tema 30-->40

He publicado nuevos apuntes de 5º Farmacoterapia: tablas de medicamentos del tema 30-->40

tema 30.1.output.pdf
tema 30.2.output.pdf
tema 34.1.output.pdf
tema 34.2.output.pdf
tema 34.output.pdf
tema 35.1.output.pdf

apuntes

-

todo el temario en tablas de medicamentos 0-->9

He publicado nuevos apuntes de 5º Farmacoterapia: todo el temario en tablas de medicamentos 0-->9

tema 0.1.output.pdf
tema 0.output (1).pdf
tema 3-2.output.pdf
tema 3-3.output.pdf
tema 3-4.output.pdf
tema 3-6.output.pdf