@SGP_33473

122 Publicaciones

2.05k Interacciones

1 Seguidores

0 Siguiendo

Lista de publicaciones de SGP_33473

apuntes

-

TABLAS RESUMEN NEURO

He publicado nuevos apuntes de 5º Patología Médica del Sistema endocrino, Reumatología, Nefrología y Sistema Nervioso: TABLAS RESUMEN NEURO

Tabla-Ictus-hemorragicos.pdf
Tabla-Cefaleas.pdf
Tabla-Demencias.pdf
Tabla-enf-union-neuromuscular.pdf
tabla-ictus-isquemicos.pdf
Tabla-neuropatias.pdf

apuntes

-

Resumenes ORL

He publicado nuevos apuntes de 3º Otorrinolaringología: Resumenes ORL

resumen-otitis-externas.pdf
Hipoacusias-de-transmision.pdf
otitis-media-aguda-y-secretora.pdf

He publicado nuevos examenes de 4º Obstetricia y Ginecología: Lista-preguntas-examen.pdf

6 páginas

He publicado nuevos examenes de 4º Obstetricia y Ginecología: Examen-de-Ginecologia-Junio-2019.pdf

2 páginas

apuntes

-

APUNTES DERMA 2018

Temas que cambiaron el año pasado (2018)

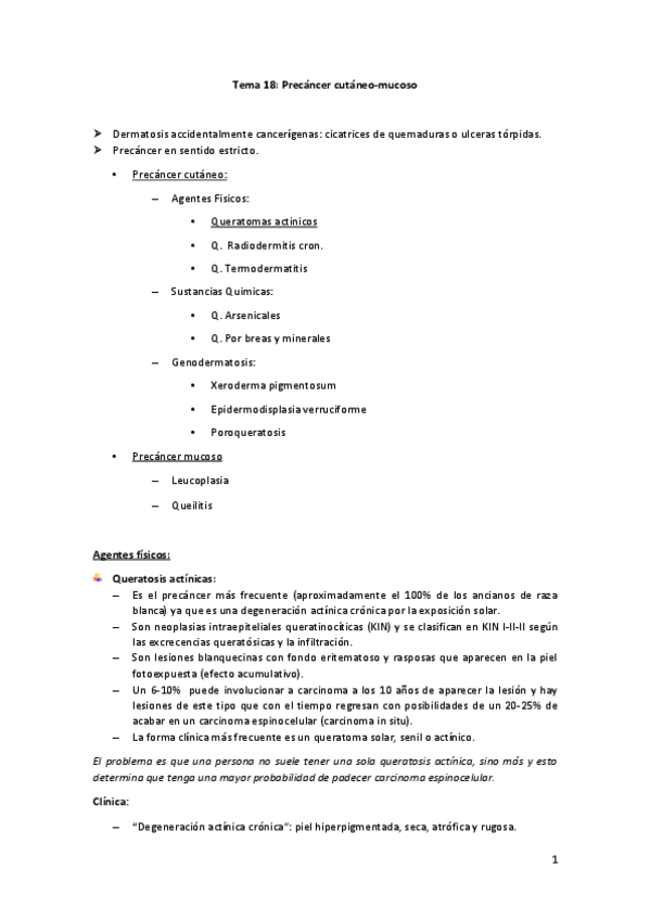
tema 18 precancer.pdf
tema 22 Sarcomas.pdf
tema 4.pdf
tema 15.pdf
tema 19 Basocelulares.pdf
tema 18 Ca. Espinocelulares.pdf

apuntes

-

Apuntes OFL temas que faltan

Temas que faltan del curso 2018

tema 6.pdf
tema 4.pdf
retinopatia diabetica.pdf
retinopatias.pdf
tema 3.pdf

He publicado nuevos examenes de 3º Farmacología Médica y Clínica: Examen farma.pdf

10 páginas

He publicado nuevos examenes de 3º Farmacología Médica y Clínica: Examen farma.pdf

10 páginas

apuntes

-

Apuntes AP ppt nuevos

He publicado nuevos apuntes de 3º Anatomía Patológica: Apuntes AP ppt nuevos

tema 3.pdf
tema 4.pdf
tema 5.pdf
tema 6.pdf
tema 13 AP.pdf

apuntes

-

Seminarios AP

He publicado nuevos apuntes de 3º Anatomía Patológica: Seminarios AP

seminario 1.pdf
seminario 2.pdf
seminario 3.pdf
seminario 4.pdf
seminario 6.pdf
seminario 7.pdf

apuntes

-

Prácticas AP primer parcial

He publicado nuevos apuntes de 3º Anatomía Patológica: Prácticas AP primer parcial

practica 1.pdf
practica 2.pdf
practica 3.pdf

He publicado nuevos examenes de 3º Dermatología: Examen Derma 2018.pdf

1 página