@shakira2223_

Estudios: Grado en Física (UNIOVI) ...Mostrar más

162 Publicaciones

3.33k Interacciones

14 Seguidores

2 Siguiendo

Lista de publicaciones de shakira2223_

ejercicios

-

Ejercicios resueltos

He publicado nuevos ejercicios de 3º Física Estadística: Ejercicios resueltos

Hoja-3-Fest.pdf
Hoja-4-Fest.pdf
Hoja-5-Fest.pdf
Hoja-6-Fest.pdf

He publicado nuevos examenes de 2º Termodinámica: Term252aparte.pdf

2 páginas

He publicado nuevos apuntes de 3º Física Estadística: Formulario-para-Fest.pdf

2 páginas

examenes

-

Exámenes Resueltos

He publicado nuevos examenes de 3º Física Estadística: Exámenes Resueltos

Mayo-19.pdf
Julio-20.pdf
Junio-19.pdf
Mayo-21.pdf
Mayo-24.pdf
Mayo-25.pdf

He publicado nuevos examenes de 2º Ecuaciones Diferenciales Aplicadas a la Física I: Examen-Mayo-2025-05-20s.pdf

10 páginas

examenes

-

Examenes 2024-2025

He publicado nuevos examenes de 2º Mecánica y Ondas: Examenes 2024-2025

Mecanica1-sem-Diciembre-24-25.pdf
Mecanica2-sem-Mayo-24-25.pdf
Examen250202200656.pdf
Primer-parcial.pdf
Segundo-parcial.pdf

He publicado nuevos examenes de 3º Física Estadística: 2025-EXTRAORDINARIO-FEST.pdf

2 páginas

He publicado nuevos examenes de 2º Ecuaciones Diferenciales Aplicadas a la Física I: Edafi-Junio-24-25.pdf

2 páginas

examen de la extraordinaria

2 páginas

Examen extraordinaria de MMI junio 25

1 página

apuntes

-

Ejercicios entregas PA

Ejercicios entregas PA

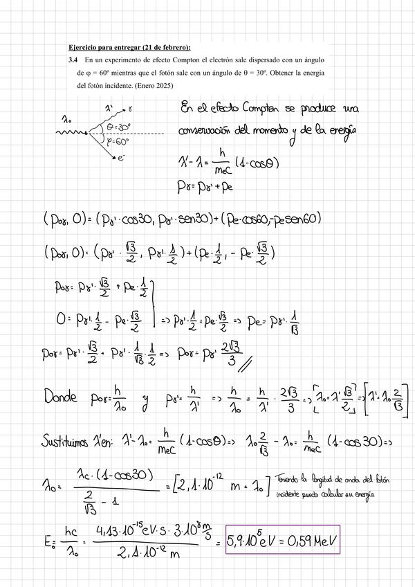
Hoja-1-cuantica.pdf
Hoja-2-cuantica.pdf
Hoja-3-cuantica.pdf
Hoja-5-cuantica.pdf
Hoja-6-cuantica.pdf
Hoja-7-cuantica.jpg

examenes

-

Exámenes

He publicado nuevos examenes de 2º Física Cuántica: Exámenes

Examen-enero-2025.pdf
Examen-junio-21.pdf
Examen-mayo-21.pdf
Examen-mayo-22.pdf
Examen-mayo-24.pdf
Examen-mayo-2023.pdf