@Sierraa

Estudios: Grado en Farmacia (UAX) ...Mostrar más

47 Publicaciones

2.89k Interacciones

3 Seguidores

0 Siguiendo

Lista de publicaciones de Sierraa

He publicado nuevos ejercicios de 4º Sistemas Electrónicos para Medida y Control: Problemas-T1.pdf

13 páginas

He publicado nuevos ejercicios de 3º Fundamentos del Procesado Digital de la Señal: Problemas-20-a-32.pdf

10 páginas

He publicado nuevos ejercicios de 3º Fundamentos del Procesado Digital de la Señal: Problemas-1-a-19.pdf

24 páginas

He publicado nuevos apuntes de 2º Fundamentos de Software de Comunicaciones: Resumen-Software.pdf

17 páginas

He publicado nuevos examenes de 2º Señales y Sistemas: Examen-Febrero-2020.pdf

2 páginas

examenes

-

EX1 2021

He publicado nuevos examenes de 2º Diseño Digital: EX1 2021

Ex1.docx
Ex1Capturas.docx

apuntes

-

Ejercicios Resueltos y Apuntes

He publicado nuevos apuntes de 2º Señales Aleatorias: Ejercicios Resueltos y Apuntes

Resumenes-temas-5-a-6.pdf
ExamenJun2021Corregido.pdf
ResumenTemas1a4.pdf
EjerciciosTemas1a6.pdf
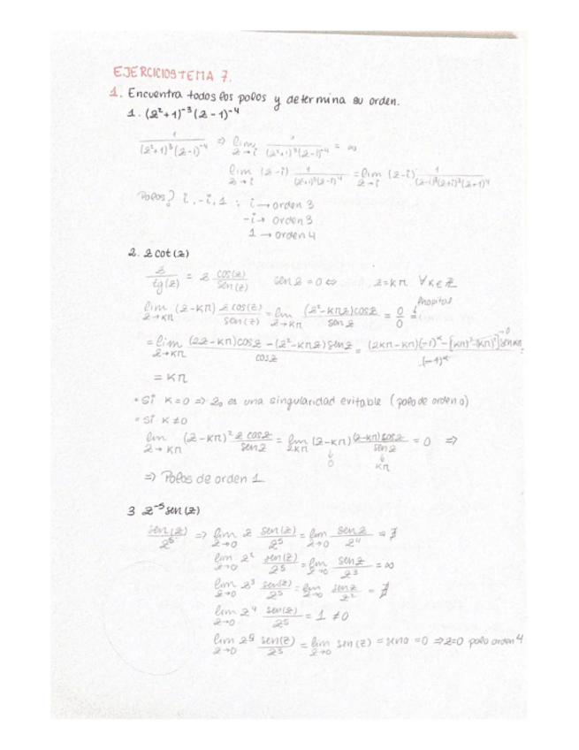
EjerciciosTemas7y8.pdf
enunciados.pdf

ejercicios

-

Ejercicios Resueltos

He publicado nuevos ejercicios de 1º Circuitos y Sistemas 1: Ejercicios Resueltos

ej3.pdf
ej1.pdf
ej2.pdf
ej4.pdf

ejercicios

-

Ejercicios Resueltos

He publicado nuevos ejercicios de 1º Matemáticas 3: Ejercicios Resueltos

EjerciciosT6.pdf
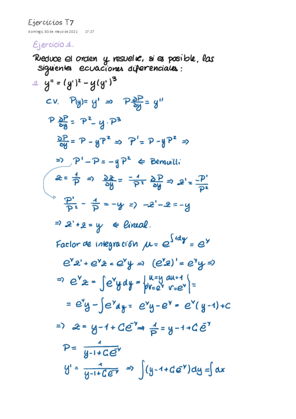
EjerciciosT7.pdf

apuntes

-

Apuntes CyS1 Antonio Puerta

He publicado nuevos apuntes de 1º Circuitos y Sistemas 1: Apuntes CyS1 Antonio Puerta

Tema-3-CyS1.pdf
TEMA-4-CyS1.pdf

apuntes

-

Apuntes Antonio Puerta

Vendo los apuntes en papel + flashcards por 5€ y te regalo un pdf con ejercicios resueltos en digital

Tema-1-Ejemplos.pdf
Tema-2-Ejemplos.pdf
Tema-3-Apuntes.pdf
Tema-3-ejemplos.pdf
Tema-4-Apuntes.pdf
Tema-4-Ejemplos.pdf

ejercicios

-

Ejercicios Corregidos Francisco

He publicado nuevos ejercicios de 2º Ampliación de Matemáticas: Ejercicios Corregidos Francisco

Temas-1-2-3.pdf
Tema-5.pdf
Tema-6.pdf
Tema-7.pdf
Tema-8.pdf
Tema-9.pdf

apuntes

-

Apuntes Resumidos

He publicado nuevos apuntes de 1º Matemáticas 1: Apuntes Resumidos

Tema4-Espacios-Vectoriales.pdf
Tema5-formas-bilineales.pdf
Tema6-combinatoria.pdf
Tema-7-Ecuaciones-de-Recurrencia.pdf