@silviaprg_

41 Publicaciones

181 Interacciones

2 Seguidores

1 Siguiendo

Lista de publicaciones de silviaprg_

examenes

-

Ejercicios de examen

He publicado nuevos examenes de 1º BIOESTADÍSTICA: Ejercicios de examen

bloque-1-ej-estadistica.pdf
bloque-2-ej-estadistica.pdf

apuntes

-

apuntes bioestadística 1ºB

apuntes sintetizados

apuntes-estadistica-descriptiva.pdf
apuntes-probabilidad.pdf
apuntes-regresion-y-correlacion.pdf
apuntes-introduccion-a-la-inferencia.pdf
apuntes-de-contrastes.pdf
apuntes-contingencia.pdf

He publicado nuevos apuntes de 1º BIOESTADÍSTICA: formulario-de-calculadora.pdf

2 páginas

He publicado nuevos examenes de 1º QUÍMICA GENERAL APLICADA A LA BIOLOGÍA: ejercicios-de-examen.pdf

4 páginas

examenes

-

examenes

He publicado nuevos examenes de 1º QUÍMICA GENERAL APLICADA A LA BIOLOGÍA: examenes

examen-hecho-2025-clase-B.pdf
examen-hecho-2016.pdf
examen-hecho-2024-clase-A.pdf
examen-hecho-2025-clase-A.pdf

He publicado nuevos ejercicios de 1º QUÍMICA GENERAL APLICADA A LA BIOLOGÍA: hojas-de-problemas-2025-2026.pdf

17 páginas

He publicado nuevos ejercicios de 1º QUÍMICA GENERAL APLICADA A LA BIOLOGÍA: hojas-de-problemas-2024-2025.pdf

34 páginas

apuntes

-

teoria

He publicado nuevos apuntes de 1º QUÍMICA GENERAL APLICADA A LA BIOLOGÍA: teoria

enlace-quimico-y-geometria.pdf
quimica-organica.pdf

practicas

-

fichas con fotos de lab

para preparar el visu

hongos.pdf
algas.pdf
Cripto-307.jpg

He publicado nuevos ejercicios de 1º Biología Evolutiva: Guia-de-arboles-filogeneticos.pdf

1 página

He publicado nuevos ejercicios de 1º Química Orgánica: ejercicios-de-estereocentros.pdf

10 páginas

He publicado nuevos apuntes de 1º Química Orgánica: ejercicios-de-ciclacion.pdf

1 página

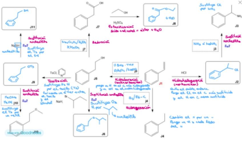
He publicado nuevos apuntes de 1º Química Orgánica: mas-rutas.pdf

8 páginas

apuntes

-

seminarios

He publicado nuevos apuntes de 1º Química Orgánica: seminarios

seminario-1.pdf
seminario-2.pdf
seminario-5.pdf
seminario-7.pdf
seminario-8.pdf
seminario-9.pdf

He publicado nuevos apuntes de 1º Química Orgánica: tutorias-de-quimica-organica.pdf

8 páginas

Formulario de cosas necesarias para el examen

7 páginas

Formulario de todas la reacciones necesarias para las rutas

5 páginas

Formulario de todas las formulas necesarias para los problemas

5 páginas

He publicado nuevos apuntes de 2º Histologia Animal: apuntes-histologia-animal.pdf

50 páginas

He publicado nuevos apuntes de 1º Química Orgánica: apuntes-quimica-organica.pdf

100 páginas