@smares

11 Publicaciones

141 Interacciones

0 Seguidores

0 Siguiendo

Lista de publicaciones de smares

He publicado nuevos apuntes de 1º Fundamentos de Psicobiología: Apuntes psicobiología tema 1.pdf

14 páginas

He publicado nuevos apuntes de 1º Estadística I: TEMA 4.pdf

6 páginas

He publicado nuevos apuntes de 1º Estadística I: TEMA 5.pdf

12 páginas

He publicado nuevos apuntes de 1º Estadística I: TEMA 7.pdf

3 páginas

He publicado nuevos apuntes de 1º Fundamentos de Psicobiología: TEMA 3.pdf

5 páginas

He publicado nuevos apuntes de 4º Psicología Social del Desarrollo y el Cambio Organizacional: ejercicios.pdf

10 páginas

He publicado nuevos apuntes de 1º Estadística I: TEMA 3.pdf

13 páginas

He publicado nuevos apuntes de 1º Fundamentos de Psicobiología: TEMA 2.pdf

11 páginas

He publicado nuevos apuntes de 1º Estadística I: TEMA 1 Y 2.pdf

10 páginas

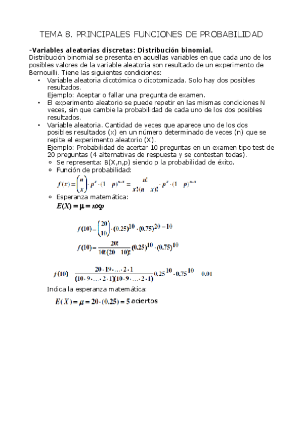
He publicado nuevos apuntes de 1º Estadística I: TEMA 8.pdf

6 páginas

He publicado nuevos apuntes de 1º Estadística I: TEMA 6.pdf

13 páginas