@Solve_Doubts

Estudios: Ingeniería Biológica (UNAL) ...Mostrar más

156 Publicaciones

1.83k Interacciones

23 Seguidores

3 Siguiendo

Lista de publicaciones de Solve_Doubts

He publicado nuevos apuntes de 1º Cálculo Diferencial: Limites-Resueltos.pdf

17 páginas

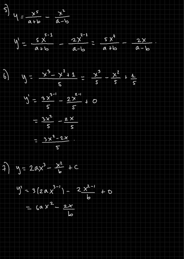
He publicado nuevos practicas de 1º Cálculo Diferencial: derivadas.pdf

5 páginas

apuntes

-

Todo sobre derivadas y aplicaciones

He publicado nuevos apuntes de 1º Cálculo I: Todo sobre derivadas y aplicaciones

1-iREGLAS-DE-DERIVACION.pdf
2-REGLA-DE-LA-CADENA.pdf
3-ORDEN-SUPERIOR.pdf
4-Derivacion-implicita-y-logaritmica.pdf
5-Regla-de-LHospital.pdf
6-RAZONES-DE-CAMBIO.pdf

He publicado nuevos apuntes de 3º Cálculo en Varias Variables: Clase-Calculo-III.pdf

11 páginas

He publicado nuevos examenes de 2º Álgebra Lineal: Solucion-de-parcial-B.pdf

8 páginas

He publicado nuevos examenes de 2º Álgebra Lineal: Solucion-de-parcial-A.pdf

8 páginas

He publicado nuevos ejercicios de 3º Cálculo en Varias Variables: Ejercicio-planos-tangentes.pdf

2 páginas

He publicado nuevos otros de 2º Cálculo Integral: Tabla-de-integrales.pdf

5 páginas

He publicado nuevos ejercicios de 2º Cálculo Integral: Metodos-de-integracion.pdf

7 páginas

He publicado nuevos apuntes de 3º Cálculo en Varias Variables: Planos-tangentes-derivada-de-orden-superior.pdf

11 páginas

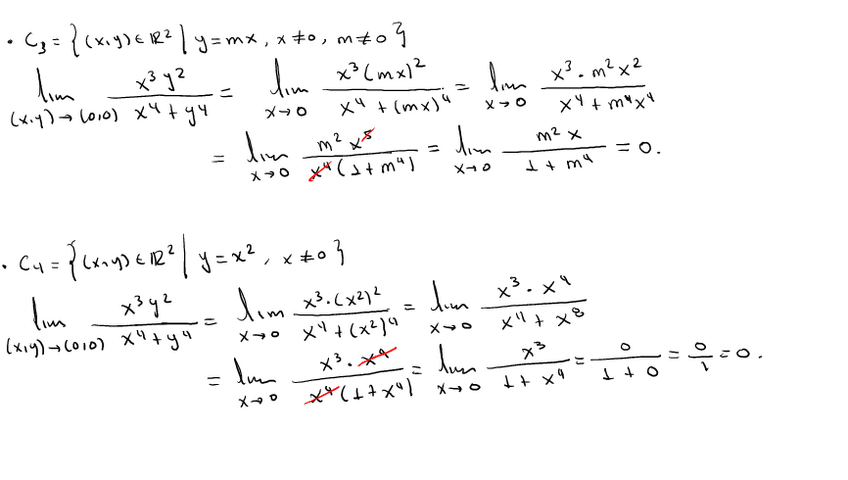
He publicado nuevos ejercicios de 3º Cálculo en Varias Variables: Continuidad-de-una-funcion.pdf

4 páginas

He publicado nuevos ejercicios de 2º Álgebra Lineal: Mezclas-de-cafe-sistemas-de-ecuaciones.pdf

4 páginas

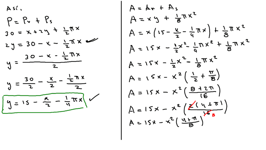
He publicado nuevos ejercicios de 1º Cálculo Diferencial: Modelado-con-funciones-Ventana-normanda.pdf

4 páginas

He publicado nuevos ejercicios de 2º Álgebra Lineal: Eliminacion-con-Gauss-Jordan.pdf

2 páginas

He publicado nuevos ejercicios de 8º Álgebra: propiedades-de-las-potencias-y-numeros-racionales.pdf

10 páginas

He publicado nuevos ejercicios de 8º Álgebra: Operaciones-con-polinomios.pdf

10 páginas

He publicado nuevos ejercicios de 2º Álgebra Lineal: Ejercicio-de-aplicacion-sistemas-de-ecuaciones.pdf

3 páginas

He publicado nuevos ejercicios de 6º Variable Compleja: Dominios complejos y 6ta raiz de la unidad.pdf

5 páginas

He publicado nuevos ejercicios de 3º Cálculo en Varias Variables: Limite-por-estriccion-y-polares.pdf

6 páginas

He publicado nuevos ejercicios de 4º Ecuaciones Diferenciales: Ecuaciones-diferenciales.pdf

6 páginas