@SoyAliG

5 Publicaciones

1.06k Interacciones

0 Seguidores

1 Siguiendo

Lista de publicaciones de SoyAliG

He publicado nuevos apuntes de 1º Fundamentos Físicos: ManualSPICEmjmmv1.pdf

65 páginas

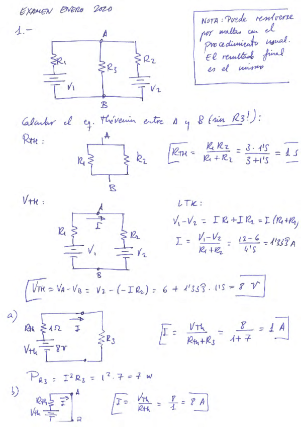
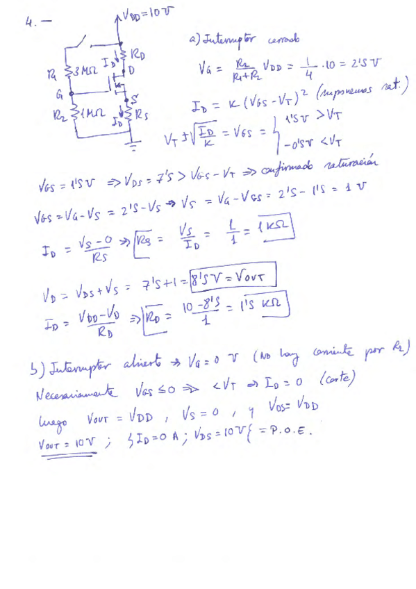
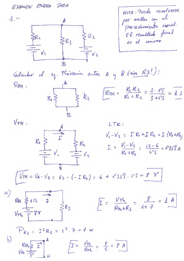
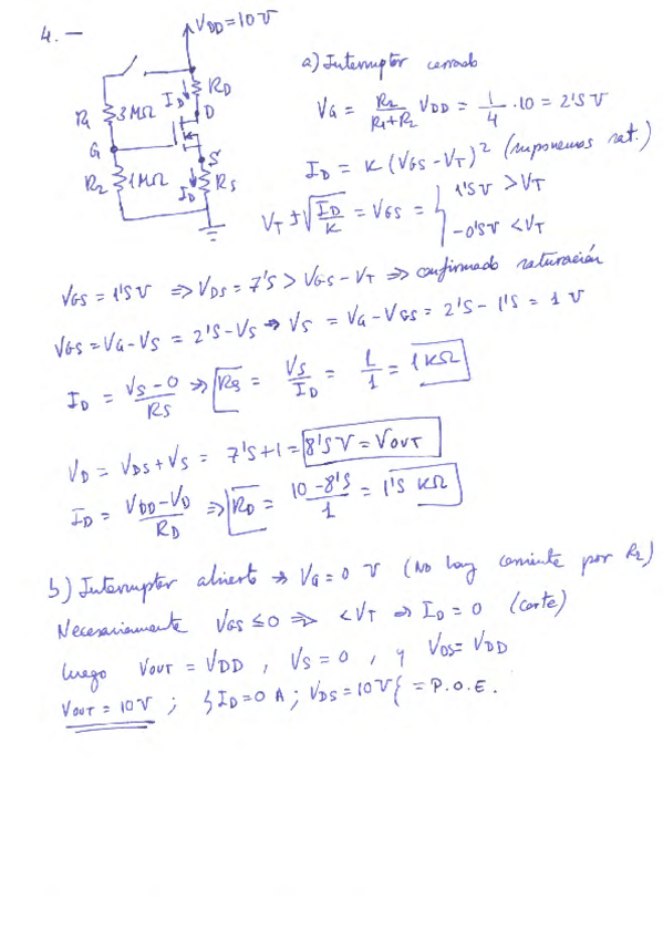
He publicado nuevos apuntes de 1º Fundamentos Físicos: SolucionesEnero2020.pdf

3 páginas

He publicado nuevos apuntes de 1º Fundamentos Físicos: CuadernoV1.pdf

99 páginas

He publicado nuevos examenes de 1º Computadores I: Computadores-2012.pdf

1 página