@Sr_Montesinos01

Estudios: Grado en Física (UIB) ...Mostrar más

Bio: Estudio física

6 Publicaciones

2.95k Interacciones

13 Seguidores

0 Siguiendo

Lista de publicaciones de Sr_Montesinos01

apuntes

-

Resumen temas (20/21)

Profesor: Daniel Rodriguez

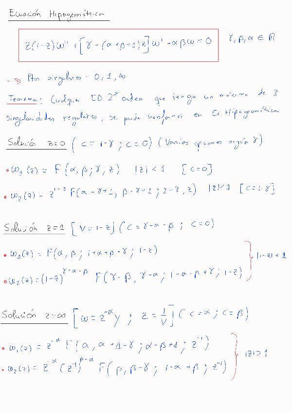
Resumen-Hipergeometricas.pdf
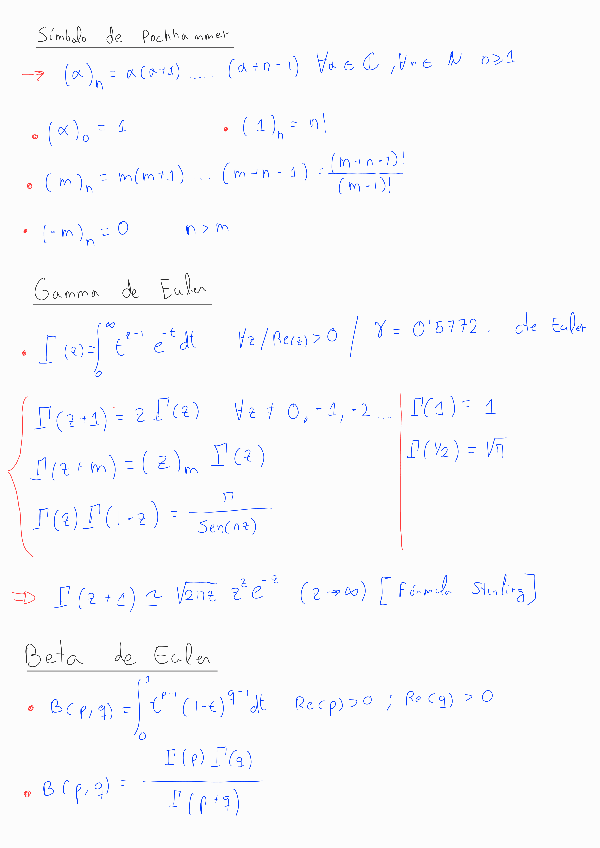
Resumen-gamma-y-beta-de-Euler.pdf
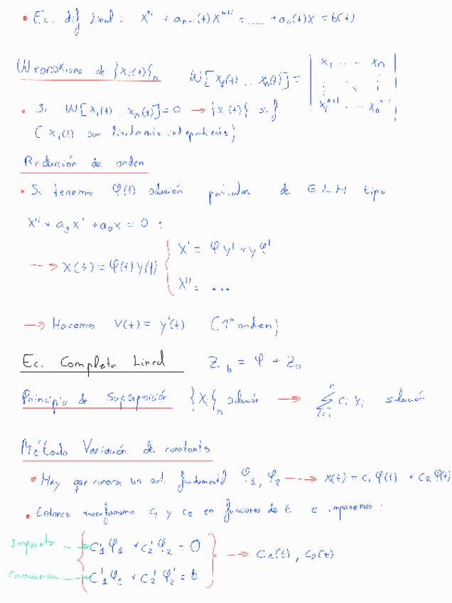
Resumen-ecuaciones-de-orden-superior-.pdf
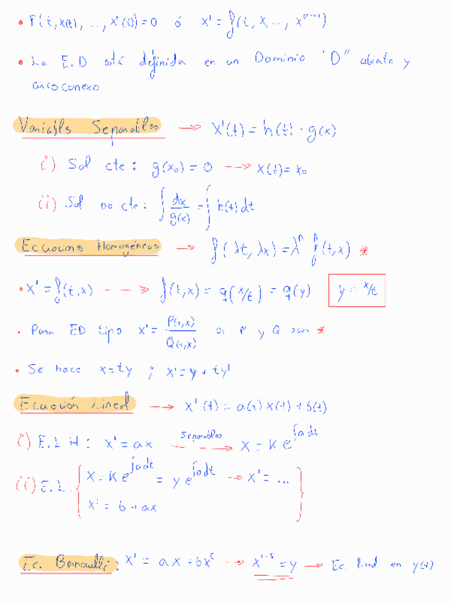
Resumen-ecuaciones-de-primer-orden.pdf
Ecuaciones-diferenciales-en-derivadas-parciales-resumen-.pdf

He publicado nuevos apuntes de 2º Termodinámica: Formulario201206235351.pdf

4 páginas