@Studyenfermeria

52.25 € • 6.88k EXP

Bio: Holi, mi nombre es Xiomara y soy estudiante de enfermería de la Universidad de Buenos Aires, y acá encontrarán mis apuntes, la verdad espero que les ayude muchísimo, si gustan pueden seguirme en Instagram: @study.enfermeria.uba

26 Publicaciones

1.75k Interacciones

115 Seguidores

1 Siguiendo

Lista de publicaciones de Studyenfermeria

He publicado nuevos apuntes de 3º Enfermería Obstétrica: PLANIFICACION-FAMILIAR-2.pdf

460 páginas

apuntes

-

ANATOMÍA

He publicado nuevos apuntes de 1º Anatomofisiología: ANATOMÍA

ANATOMIA.pdf
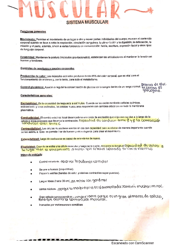
MUSCULAR.pdf
RESPIRATORIO-1.pdf
Sistema-nervioso-fisiologia.pdf
CARDIO-1.pdf
1ra-guia-de-Anatomia.pdf

apuntes

-

Química

He publicado nuevos apuntes de 1º Química Biológica: Química

QUIMICA.pdf
Tp-de-quimica-8-y-9.pdf

apuntes

-

Psicosociales

He publicado nuevos apuntes de 1º Introducción Ciencias Psicosociales: Psicosociales

PSICOSOCIALES.pdf

apuntes

-

NUTRICIÓN

He publicado nuevos apuntes de 1º Nutrición: NUTRICIÓN

NUTRICION-1.pdf

apuntes

-

DEONTOLOGÍA I

He publicado nuevos apuntes de 1º Deontología I: DEONTOLOGÍA I

ETAPA-PREBACTERIOLOGICA-DEONTOLOGIA-I.pdf
PRINCIPIOS-ETICOS.pdf
ASPECTOS-LEGALES.pdf
RESUMEN-PARA-DEONTOLOGIA-1.pdf

apuntes

-

MICROBIOLOGÍA Y PARASITOLOGÍA

He publicado nuevos apuntes de 1º Microbiología-Parasitología: MICROBIOLOGÍA Y PARASITOLOGÍA

MICROBIOLOGIA-UNIDAD-1.pdf
MICROBIOLOGIA-UNIDAD-2.pdf
LAVADO-DE-MANOS.pdf
INFECCIONES-GASTROINTESTINALES.pdf
Compilado-de-microbiologia.pdf
Fichitas-de-precauciones.pdf

apuntes

-

Pensamiento científico

He publicado nuevos apuntes de 1º Introducción Ciencias Psicosociales: Pensamiento científico

RESUMEN-DE-IPC-PRIMER-PARCIAL.pdf