@SuperIngeniero

Estudios: Grado en Ingeniería Mecánica (UJAEN) ...Mostrar más

21 Publicaciones

2.83k Interacciones

7 Seguidores

1 Siguiendo

Lista de publicaciones de SuperIngeniero

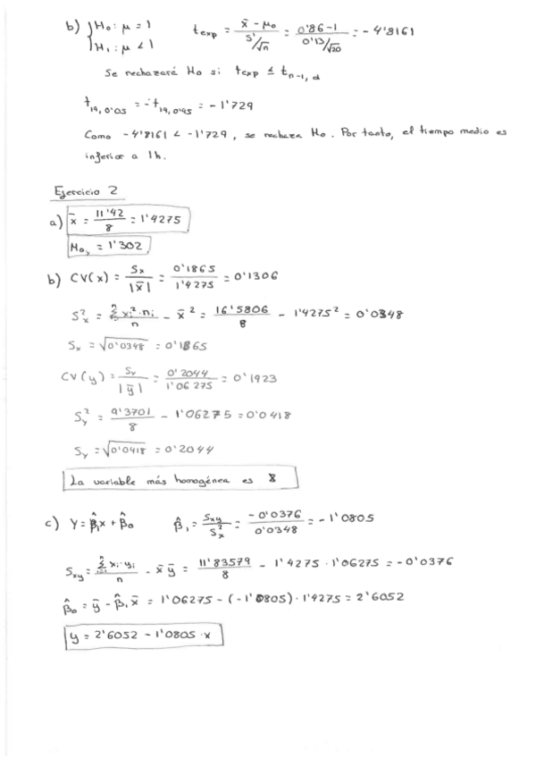
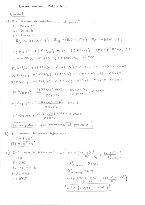
He publicado nuevos examenes de 1º Estadística: Examen-octubre-2021.pdf

2 páginas

He publicado nuevos examenes de 1º Estadística: Examen-2021-SOLUCION.pdf

3 páginas

He publicado nuevos examenes de 1º Estadística: 2022-EXAMEN-ESTADISTICA.pdf

1 página

He publicado nuevos examenes de 2º Mecánica de Máquinas: 22-23-EXAMEN-MAQUINAS.pdf

2 páginas

He publicado nuevos examenes de 2º Electrotecnia: 22-23-EXAMEN-ELECTROTECNIA.pdf

2 páginas

practicas

-

Prácticas/Problemas propuestos

He publicado nuevos practicas de 2º Mecánica de Máquinas: Prácticas/Problemas propuestos

Problema-propuesto-5.pdf
Problema-propuesto-2.pdf
Problema-propuesto-4.pdf
Problema-propuesto-3.pdf
Problema-propuesto-1.pdf

He publicado nuevos examenes de 2º Ciencia e Ingeniería de Materiales: 2122-CON-SOLUCIONES-Enero-Examen.pdf

11 páginas

He publicado nuevos examenes de 2º Ciencia e Ingeniería de Materiales: 22/23-ENERO-EXAMEN-MATERIALES.pdf

2 páginas

He publicado nuevos examenes de 2º Ampliación de Matemáticas: 22-23-EXAMEN CORREGIDO-ORDINARIA.pdf

23 páginas

He publicado nuevos practicas de 1º Administración de Empresas: PRACTICAS-EJERCICIOS-APRUEBA-FACIL.pdf

11 páginas

He publicado nuevos apuntes de 1º Estadística: PRIMER-EXAMEN-APRUEBA-FACIL.pdf

5 páginas

He publicado nuevos apuntes de 1º Física II: ACADEMIA-APRUEBA-FACIL.pdf

25 páginas

He publicado nuevos apuntes de 1º Matemáticas II: ACADEMIA-DIFERENCIALES-FACIL-APROBAR.pdf

20 páginas

He publicado nuevos apuntes de 1º Fundamentos Químicos en la Ingeniería: PROBLEMAS-todos-los-posibles-tipos.pdf

28 páginas

He publicado nuevos apuntes de 1º Física I: TODO-EL-CURSO.pdf

52 páginas

He publicado nuevos apuntes de 1º Física II: TODO-TIPO-DE-EJERCICIOS-EXAMEN.pdf

2 páginas

He publicado nuevos apuntes de 1º Matemáticas I: TODO-EL-CURSO.pdf

50 páginas