@TADE02

72 Publicaciones

990 Interacciones

0 Seguidores

0 Siguiendo

Lista de publicaciones de TADE02

He publicado nuevos examenes de 4º Economía Española y del País Valencià: PREGUNTAS-TEST-ECONOMIA.pdf

4 páginas

He publicado nuevos examenes de 4º Economía Española y del País Valencià: Examen-junio-2023-resuelto.pdf

4 páginas

He publicado nuevos ejercicios de 4º Economía Española y del País Valencià: Ejercicios-resultos.pdf

25 páginas

He publicado nuevos apuntes de 4º Economía Española y del País Valencià: APUNTES-ECO.pdf

65 páginas

He publicado nuevos ejercicios de 4º Análisis de Estados Financieros: Casos-practicos-resueltos.pdf

40 páginas

apuntes

-

Prácticas + tarea ev. continua

He publicado nuevos apuntes de 3º Macroeconomía: Prácticas + tarea ev. continua

Practica-2-macro.pdf
Practica-3-macro.pdf
Practica-4-macro.pdf
Practica-5-macro.pdf
Practica-6-macro.pdf
TAREA-DE-EVALUACION-CONTINUA-MACROECONOMIA.pdf

He publicado nuevos apuntes de 3º Teoria de la Inversion: Formulario-ejercicios-inversion.pdf

3 páginas

practicas

-

Ejercicios + test

He publicado nuevos practicas de 3º Dirección de Operaciones: Ejercicios + test

Ejercicios-finales.pdf
Todos-los-ejercicios.pdf
Test-preguntas-variadas.pdf

He publicado nuevos practicas de 3º Dirección de Empresas Internacionales: Katmandu-video-direccion.pdf

7 páginas

He publicado nuevos practicas de 3º Economía de la Unión Europea y de las instituciones internacionales: PRACTICA-1-ECONOMIA-UE.pdf

8 páginas

He publicado nuevos practicas de 3º Economía de la Unión Europea y de las instituciones internacionales: PRACTICA-4-UE.pdf

4 páginas

He publicado nuevos apuntes de 3º Espacio Turístico y Medioambiente: Espai.pdf

38 páginas

He publicado nuevos apuntes de 3º Estrategia de Marketing: APUNTES-MARKETING.pdf

54 páginas

practicas

-

PRÁCTICAS INGLÉS

He publicado nuevos practicas de 2º Dirección Estratégica de la Empresa: PRÁCTICAS INGLÉS

PRACTICE-8.pdf
PRACTICE-13.pdf
PRACTICE-1.pdf
PATAGONIA-CASE.pdf
PRACTICE-3.pdf
PRACTICE-4.pdf

apuntes

-

Apuntes en inglés

He publicado nuevos apuntes de 2º Dirección Estratégica de la Empresa: Apuntes en inglés

UNIT-1-5.pdf
UNIT-6-11.pdf

trabajos

-

Seminarios

He publicado nuevos trabajos de 2º Marketing Turístico: Seminarios

SEMINARIO-1-CALIDAD-DE-SERVICIO.pdf
SEMINARIO-2-CONVENT-CARME.pdf
SEMINARIO-3-GURUWALK.pdf
SEMINARIO-4-PRECIOS-Y-DISTRIBUCION.pdf
SEMINARIO-SLUM-TOURISM.pdf

He publicado nuevos apuntes de 2º Comunicación en Segunda Lengua Extranjera para Turismo II: Temi-monologo.pdf

4 páginas

practicas

-

Practica 3 - Análisis tablas input-output 2016

He publicado nuevos practicas de 2º Estructura de los mercados turisticos: Practica 3 - Análisis tablas input-output 2016

Practica-3-Analisis-tablas-input-output-2016.pdf

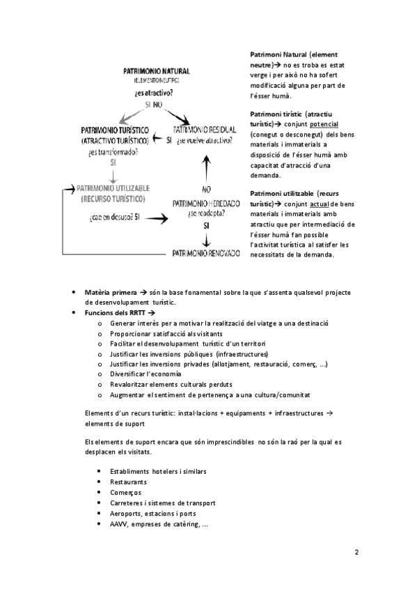
He publicado nuevos apuntes de 2º Recursos Territoriales Turísticos: APUNTES-RECURSOS.pdf

23 páginas