@TattoriaRaulito

Bio: Pasé de ser un delegado a la fuerza a ganarme unos chicles subiendo cosas de la UCLMeme. Espero que sean útiles, los melones cada día están más caros =)

43 Publicaciones

876 Interacciones

10 Seguidores

1 Siguiendo

Lista de publicaciones de TattoriaRaulito

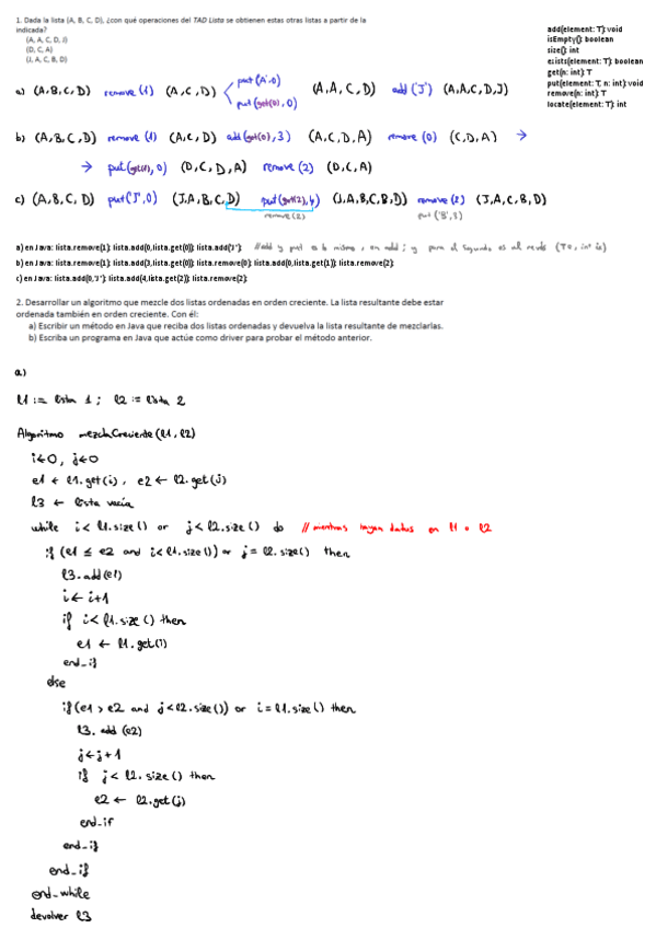
Abarcan hasta 1a mitad de tema 3 (algoritmos A-estrella). Incluye un diagrama de estado y ejemplo de algortimos de búsqueda

11 páginas

Apuntes del temario. Temas 1 a 3.

14 páginas

Apuntes relacionados con los temas 5 al 7, en especial ejercicios en clase (de las transparencias)

4 páginas

Algunos ejercicios resueltos por Robinson

4 páginas

Ejercicios de refuerzo de Lógica de Enunciados

7 páginas

Segunda parte de colección ejercicios de la asignatura: Predicados

5 páginas

Ejercicios Tema 6 - EDA (2022-23)

10 páginas

Ejercicios Tema 5 - EDA (2022-23)

10 páginas

Ejercicios Tema 4 - EDA (2022-23)

10 páginas

Ejercicios Tema 3 - EDA (2022-23)

8 páginas

Ejercicios Tema 2 - EDA (2022-23)

9 páginas

Ejercicios Tema 1 - EDA (2022-23)

7 páginas

Ejercicios resueltos de temas 4 y 5 de Redes I

23 páginas

Ejercicios resueltos de conjuntos, relaciones...

5 páginas

Ejercicios resueltos de combinatoria

3 páginas

Algunos ejercicios resueltos de la colección de ejercicios del T6: Álgebra Lineal

12 páginas

Ejercicios de Poda Alfa Beta (incluido Tres en Raya) del Tema 5: Búsqueda con adversario

12 páginas

Ejemplos y ejercicios del Tema 4: Satisfacción de Restricciones. Regiones adyacentes fue entregable

10 páginas

Ejercicios de algoritmos de búsqueda local y genéticos (Tema 3 parte 2)

4 páginas

Ejercicio entregable tema 3: VORAZ. El diagrama está hecho en este caso de arriba a abajo (al revés)

1 página