@telecoPanther

57 Publicaciones

527 Interacciones

2 Seguidores

1 Siguiendo

Lista de publicaciones de telecoPanther

He publicado nuevos apuntes de 1º Càlcul Vectorial: CURBAS-CUADRATICAS-CONICAS.pdf

2 páginas

Resumen tema 4: INTEGRALES MÚLTIPLES

2 páginas

apuntes

-

IXT RESUMEN POR TEMAS

He publicado nuevos apuntes de 1º Introducció a les Xarxes Telemàtiques: IXT RESUMEN POR TEMAS

T1.INTRODUCCION.pdf
T2.ENLACE-DE-DATOS.pdf
T3.REDES-DE-AREA-LOCAL.pdf
T4.REDES-IP.pdf

apuntes

-

CSL RESUMS PER TEMES

Tots els temes de CSL resumits!!

1-AMPLIFICADOR-OPERACIONAL.pdf
2-RESPOSTA-TEMPORAL.pdf
3-RESPOSTA-FREQUENCIAL.pdf
4-DIAGRAMES-DE-BODE.pdf
5-POTENCIA.pdf

He publicado nuevos apuntes de 1º Circuits I Sistemes Lineals: FORMULARI-PARCIAL.pdf

2 páginas

Resumen del tema 3!!

2 páginas

Resumen del tema 2

2 páginas

He publicado nuevos ejercicios de 2º Electromagnetisme: T0-EM-EJERCICIOSTodosResueltos.pdf

Miniatura no disponible
5 páginas

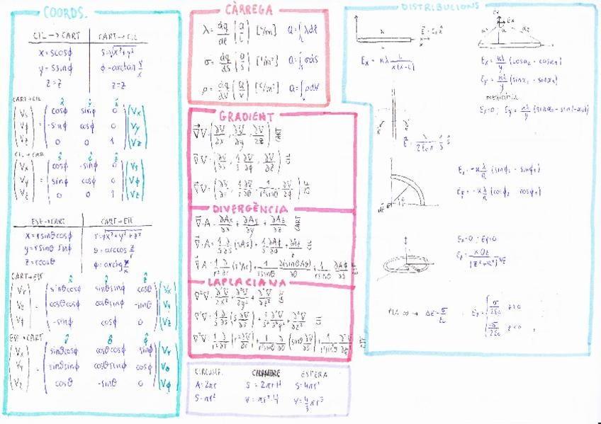
He publicado nuevos apuntes de 2º Electromagnetisme: T0-INTRODUCCION-RESUMEN.pdf

Miniatura no disponible
2 páginas

Resumen Tema 1 CAVEC

2 páginas

apuntes

-

CALCULO VECTORIAL

TODOS LOS APUNTES DE CÁLCULO VECTORIAL!!!

1.Topologia-Rn.pdf
2.Diferenciabilidad-Rn.pdf
3.Aplicaciones-Cal-Diferencial.pdf
4.Integrales-Multiples.pdf
5.Integrales-Linea-Superficie.pdf
6.Teoremas-Cal-Vectorial.pdf

apuntes

-

ALGEBRA

TOTS ELS APUNTS D'ÀLGEBRA!!!

1.Nombres-Complexos.pdf
2.Matrius-Determinants-Sistemes.pdf
3.Espais-Vectorials.pdf
4.Aplicacions-Lineals.pdf
5.Espai-Euclidia.pdf
6.Diagonalitzacio-dEndomorfismes.pdf

He publicado nuevos apuntes de 1º Programació Orientada a Objectes: POO-RESUM-FINAL.pdf

Miniatura no disponible
4 páginas

apuntes

-

FDF

Resums FDF

FDF-CALOR-TEMPERATURA-RESUM.pdf
FDF-OSCILACIONS-RESUM.pdf
FDF-TREBALL-ENERGIA-RESUM.pdf

He publicado nuevos apuntes de 1º Álgebra Lineal: AL-DIAGONALITZACIO-ENDOMORFISMES.pdf

1 página

He publicado nuevos apuntes de 1º Álgebra Lineal: AL-APL-LINEALS-RESUM.pdf

2 páginas

He publicado nuevos apuntes de 1º Álgebra Lineal: AL-ESPAI-EUCLIDIA-RESUM.pdf

2 páginas

He publicado nuevos apuntes de 1º Càlcul: CAL-INT-IMPROPIA-SERIES-RESUM.pdf

3 páginas

He publicado nuevos apuntes de 1º Càlcul: CAL-INTEGRALS-RESUM.pdf

2 páginas

He publicado nuevos apuntes de 1º Càlcul: CAL-TEOREMES-DERIVACIO-RESUM.pdf

2 páginas