@Terxsa__

14 Publicaciones

689 Interacciones

1 Seguidores

0 Siguiendo

Lista de publicaciones de Terxsa__

apuntes

-

Derecho Civil I

He publicado nuevos apuntes de 1º Derecho Civil I: Derecho Civil I

Derecho-Civil-parcial.pdf
Derecho-Civil-II.pdf
TEST-Y-PRACTICA-D.pdf

He publicado nuevos apuntes de 1º Economía: Examen-economia.pdf

4 páginas

apuntes

-

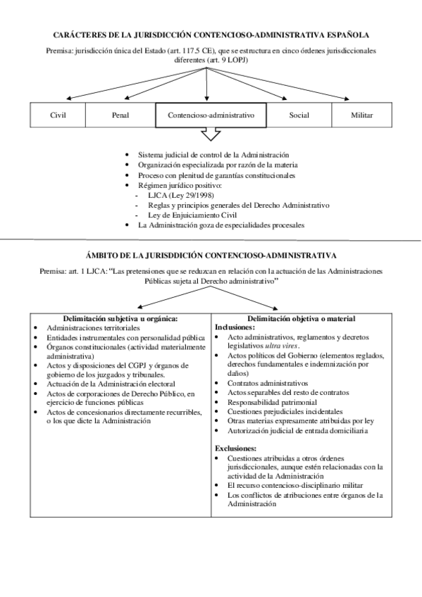
Derecho Administrativo

He publicado nuevos apuntes de 1º Derecho Administrativo I: Derecho Administrativo

Esquema-contencioso-administrativo.pdf
Derecho-Administrativo.pdf
Administrativo-2-cuatri.pdf

He publicado nuevos apuntes de 1º Derecho Penal I: DERECHO-PENAL-2.pdf

42 páginas

He publicado nuevos apuntes de 1º Derecho Constitucional I: Apuntes-Derecho-Constitucional.pdf

73 páginas

He publicado nuevos apuntes de 1º Derecho Romano: Derecho-Romano.pdf

51 páginas

He publicado nuevos apuntes de 1º Derecho Eclesiástico del Estado: Apuntes-derecho-eclesiastico.pdf

51 páginas

apuntes

-

Tipo test Economía

He publicado nuevos apuntes de 1º Economía Política: Tipo test Economía

PREGUNTAS-TIPO-TEST-1-8.pdf

apuntes

-

Historia del derecho

He publicado nuevos apuntes de 1º Historia del Derecho: Historia del derecho

Historia-del-derecho-1.pdf
Historia-del-derecho-2.pdf