@The_Maths

Estudios: Máster en Ingeniería Industrial (UPM) ...Mostrar más

104 Publicaciones

10.42k Interacciones

1 Seguidores

0 Siguiendo

Lista de publicaciones de The_Maths

apuntes

-

Tecnología Radiaciones

He publicado nuevos apuntes de 4º Tecnología de las Radiaciones: Tecnología Radiaciones

04.pdf
08.pdf
07.pdf
03.pdf
06.pdf
01.pdf

He publicado nuevos examenes de 4º GENERACION ELECTRICA CONVENCIONAL Y CON ENERGIAS RENOVABLES I: 1.pdf

2 páginas

apuntes

-

Regulación

He publicado nuevos apuntes de 4º GENERACION ELECTRICA CONVENCIONAL Y CON ENERGIAS RENOVABLES I: Regulación

REGULACIONIII.pdf
REGULACIONII.pdf
REGULACION.pdf

examenes

-

Exámenes GECER

He publicado nuevos examenes de 4º GENERACION ELECTRICA CONVENCIONAL Y CON ENERGIAS RENOVABLES I: Exámenes GECER

2016E.pdf
2017E.pdf
2019J.pdf
2018JUL.pdf

examenes

-

IMA Parciales 2013/2020, histórico

He publicado nuevos examenes de 3º Ingeniería del Medio Ambiente: IMA Parciales 2013/2020, histórico

3PP.pdf
2PP.pdf
1PP.pdf

examenes

-

ENERO-JULIO TODOS 2013/2020

He publicado nuevos examenes de 3º Ingeniería del Medio Ambiente: ENERO-JULIO TODOS 2013/2020

ENEROIMA20132020.pdf
JULIOIMA20132020.pdf

practicas

-

EXAMENES PRÁCTICAS GECER1

He publicado nuevos practicas de 4º GENERACION ELECTRICA CONVENCIONAL Y CON ENERGIAS RENOVABLES I: EXAMENES PRÁCTICAS GECER1

IMG-20141014-WA0000.jpg
PreguntasTest.pdf
Sin-nombre.png
IMG-20141014-WA0002.jpg
IMG-20141014-WA0001.jpg
IMG-20181122-WA0005.jpg

examenes

-

Exámenes: hasta 2018 (Campoy)

No sirve memorizar los problemas y/o ejercicios. Pregunta mismo problema cambiando detalles en varias convocatorias para pillar. Cuidado

FA-IE-P1-2016-17.pdf
FA-IE-P1-2018-19-solucionv.pdf
FA-IE-FJ-2016-17.pdf
FA-IE-FJ-2018-solucion.pdf
FA-IE-P2-2016-17.pdf
FA-IE-P2-2018-solucion.pdf

ejercicios

-

Ejercicios resueltos

En el PEC puso 1 ejercicio; en el final, otro. Un poco más complicados.

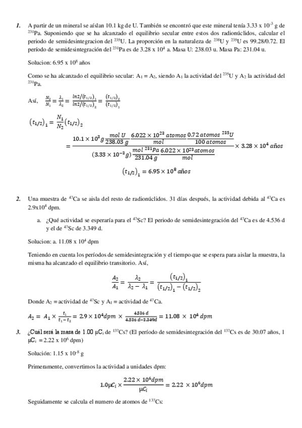
DESINTEGRACIONEJERCICIOS.pdf
CICLOTRON.pdf

ejercicios

-

Ejercicios 1,2 y 3, Moodle resueltos

He publicado nuevos ejercicios de 4º Fundamentos de Automática: Ejercicios 1,2 y 3, Moodle resueltos

E2MOODLE.pdf
E1MOODLE.pdf
E3MOODLE.pdf