@toleophysics

Bio: Todos los que no me sigan son unos fakin panzas

166 Publicaciones

3.41k Interacciones

8 Seguidores

4 Siguiendo

Lista de publicaciones de toleophysics

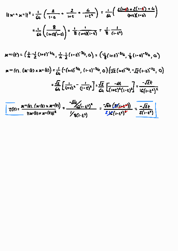
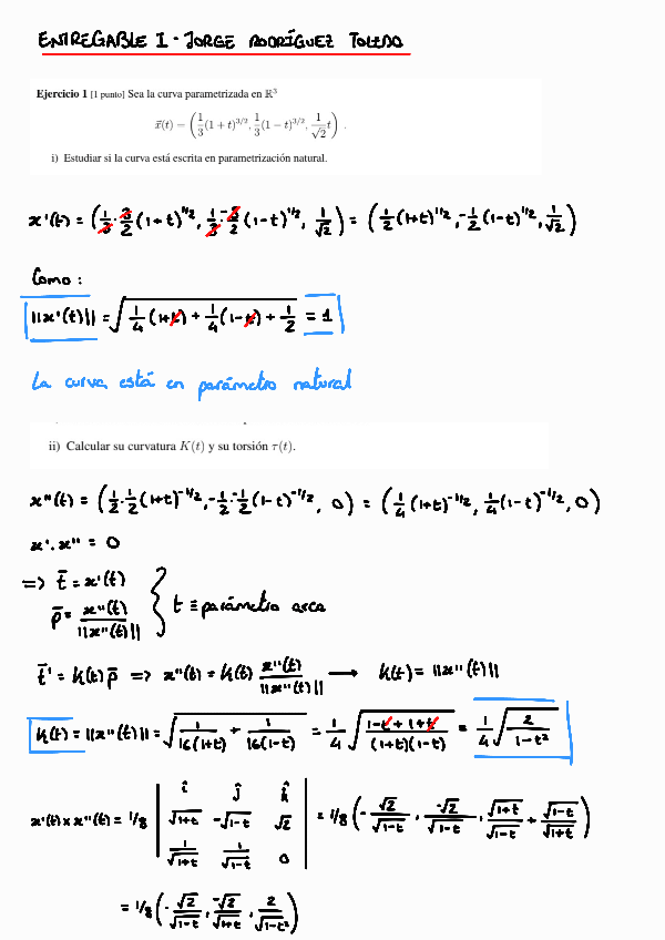
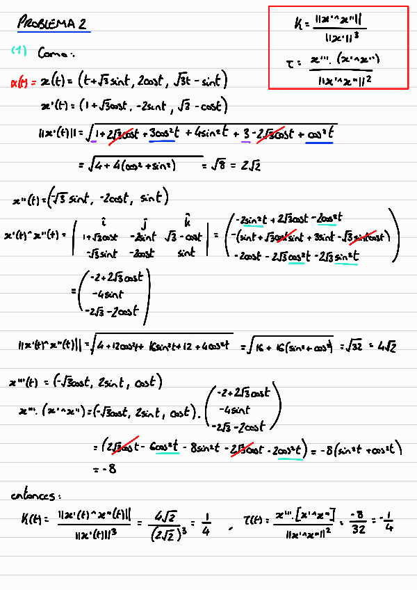
He publicado nuevos ejercicios de 3º Geometría Diferencial y Cálculo Tensorial: Entregable-I.pdf

7 páginas

apuntes

-

Apuntes

He publicado nuevos apuntes de 3º Geometría Diferencial y Cálculo Tensorial: Apuntes

L1.pdf
L2.pdf
L3.pdf
L4.pdf
L5.pdf
L678.pdf

apuntes

-

Apuntes

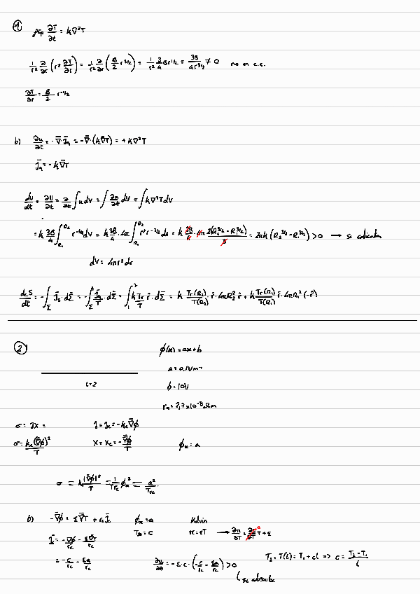
He publicado nuevos apuntes de 3º Termodinámica del No Equilibrio: Apuntes

Tema-1.pdf
Tema-2.pdf
Tema-4.pdf
Tema-5.pdf
Tema-6.pdf

ejercicios

-

Problemas

He publicado nuevos ejercicios de 3º Termodinámica del No Equilibrio: Problemas

Problemas-TNE-Q1-8.pdf
Problemas-TNE-Q9-26.pdf
Problemas-TNE-Q27-40.pdf

examenes

-

Exámenes

He publicado nuevos examenes de 3º Termodinámica del No Equilibrio: Exámenes

Junio24-Resuelto.pdf
Junio24.pdf
Mayo24-Resuelto.pdf

He publicado nuevos ejercicios de 3º Astrofísica: Problemas-Entregables.pdf

11 páginas

practicas

-

Prácticas

He publicado nuevos practicas de 1º Química: Prácticas

P1-Equilibrio-acido-base.pdf
P2-Cinetica-de-una-reaccion.pdf
P3-Valoracion-acido-base-y-solubilidad.pdf
P4-Equilibrios-redox-celdas-galvanicas-y-electroliticas.pdf

practicas

-

Informes

He publicado nuevos practicas de 1º Laboratorio de Física I: Informes

P05-Pendulo-Simple.pdf
P08-Determinacion-de-la-densidad-de-un-solido.pdf
P10-Tension-Superficial.pdf
P14-Entalpia-de-fusion-del-hielo.pdf
P15-Medida-de-resitencias-con-el-puente-de-hilo.pdf
P17-Curva-caracteristica-de-una-lampara.pdf