@Toni26

Bio: #mUGRe

16 Publicaciones

786 Interacciones

0 Seguidores

0 Siguiendo

Lista de publicaciones de Toni26

apuntes

-

Apuntes del resto de temas

He publicado nuevos apuntes de 4º BIOLOGÍA MOLECULAR APLICADA A LA ALIMENTACIÓN: Apuntes del resto de temas

T12.pdf
T10.pdf
T14.pdf
T8.pdf
T11.pdf
T9.pdf

apuntes

-

Temas 3, 4 y 5 (Parcial 1)

He publicado nuevos apuntes de 3º Inmunología: Temas 3, 4 y 5 (Parcial 1)

Fagocitosis.pdf
Complemento.pdf
TLR.pdf

trabajos

-

Trabajos de una cara

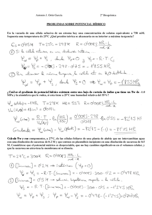
Son los trabajillos que manda el profesor, los que dice que se hagan en una cara de un folio, con formato determinado y tal. Aquí están los del crecimiento ácido, polipéptido D1, problemas de potencial hídrico y absorción de Fe

AbsorcionHierro.pdf
Crecimiento.pdf
D1.pdf
PotencialHidrico.pdf

He publicado nuevos trabajos de 2º Genética Molecular e Ingeniería Genética: PracticasIG.pdf

7 páginas