@tortilla00

Estudios: Grado en Física (UCLM) ...Mostrar más

Bio: trabajo humilde de universitario

44 Publicaciones

107 Interacciones

2 Seguidores

3 Siguiendo

Lista de publicaciones de tortilla00

apuntes

-

Álgebra y geometría I

He publicado nuevos apuntes de 1º Álgebra y Geometría I: Álgebra y geometría I

Tema-1.-Numeros-complejos..pdf
Tema-1-Sistemas-de-ecuaciones-lineales.pdf
Algebra-Tema-3.-Determinantes.pdf
Tema-4-Espacio-vectorial.pdf

apuntes

-

Física general II

He publicado nuevos apuntes de 1º Física General II: Física general II

Tema-1-campo-electrico..pdf
Desarrollo-formulas-Tema-1-campo-electrico.pdf
Desarrollo-formulas-Tema-2.pdf
Tema-2-Energia-electrostatica-y-capacidad.pdf

apuntes

-

Física I

He publicado nuevos apuntes de 1º Física General I: Física I

Tema-2-Cinematica-de-la-particula.pdf
Tema-4.-Trabajo-y-energia.pdf
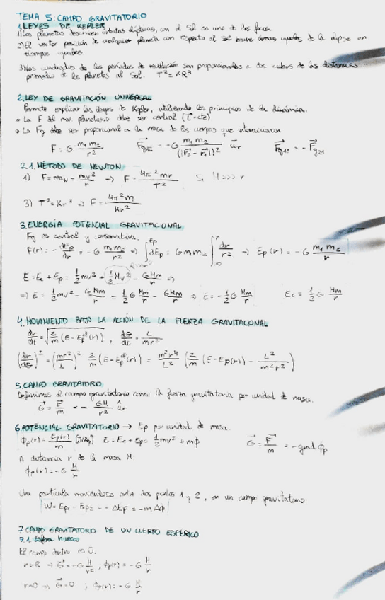
Fisica-I-Tema5.-Campo-gravitatorio.pdf
Tema-3.-Dinamica-de-la-particula.pdf
Tema-6-Dinamica-de-un-sistema-de-particulas.pdf

apuntes

-

Análisis matemático I

He publicado nuevos apuntes de 1º Análisis Matemático I: Análisis matemático I

Tema-1-Introduccion-al-calculo..pdf
Tema-2.-Sucesiones.pdf
Analisis-Tema-2-Sucesiones-y-series.pdf

apuntes

-

Qimica apuntes

He publicado nuevos apuntes de 1º Química: Qimica apuntes

Seminario-Quimica-Tema1.pdf
Tema-1-Estructura-electronica-y-propiedades-periodicas.pdf
Tema-2-Enlace-quimico-y-estructura-molecular.pdf

apuntes

-

Apuntes Matemáticas II

Apuntes Matemáticas II 2º bachillerato. Algunos con ejercicios resueltos.

Matrices-determinantes-y-sistemas.-Apuntes-y-ejercicios..pdf
Analisis-I.pdf
Matrices-determinantes-y-sistemas.pdf
Geometria.pdf
Analisis-II.pdf
Probabilidad.pdf

apuntes

-

Apuntes Química II

Apuntes resumen de los temas de Química II de 2º bachillerato.

Termoquimica.pdf
Cinetica-y-equilibrio-quimico.pdf
Solubilidad-y-acidos-base.pdf
Redox.pdf
Resumen-formulario-quimica.pdf
Estructura-del-atomo-y-enlace-quimico.pdf

apuntes

-

Apuntes resumen Física II

Resumen de los apuntes y fórmulas de algunos temas del curso de Física II de 2º de bachillerato.

Apuntes-campo-gravitatorio.pdf
Apuntes-campo-electrico.pdf
Optica-apuntes.pdf

apuntes

-

Apuntes y ejercicios Física II

Pdf con apuntes y ejercicios de evau resueltos de todos los temas del curso de Física II de bachillerato.

Tema-1-Ondas.pdf
Tema-2-Campo-gravitatorio.pdf
Tema-3-Campo-electrico.pdf
Tema-4-Campo-magnetico-e-induccion-electromagnetica.pdf
Tema-5-Optica-geometrica.pdf
Tema-6-Fisica-moderna.pdf