@Trinanotes_10

Estudios: Bachillerato

Bio: I’m just a girl who want good notes (:

11 Publicaciones

86 Interacciones

6 Seguidores

1 Siguiendo

Lista de publicaciones de Trinanotes_10

apuntes

-

Filosofía 2bach

He publicado nuevos apuntes de 2º Historia de la Filosofía: Filosofía 2bach

CamScanner-14-04-2025-13.46.pdf
CamScanner-14-04-2025-20.57.pdf
CamScanner-14-04-2025-21.00.pdf
CamScanner-15-04-2025-14.15.pdf
CamScanner-15-04-2025-14.19.pdf
CamScanner-15-04-2025-14.25.pdf

Con estos apuntes van a entender muy bien los límites y sobre todo el método de L’Hopital! Espero que os sirva

5 páginas

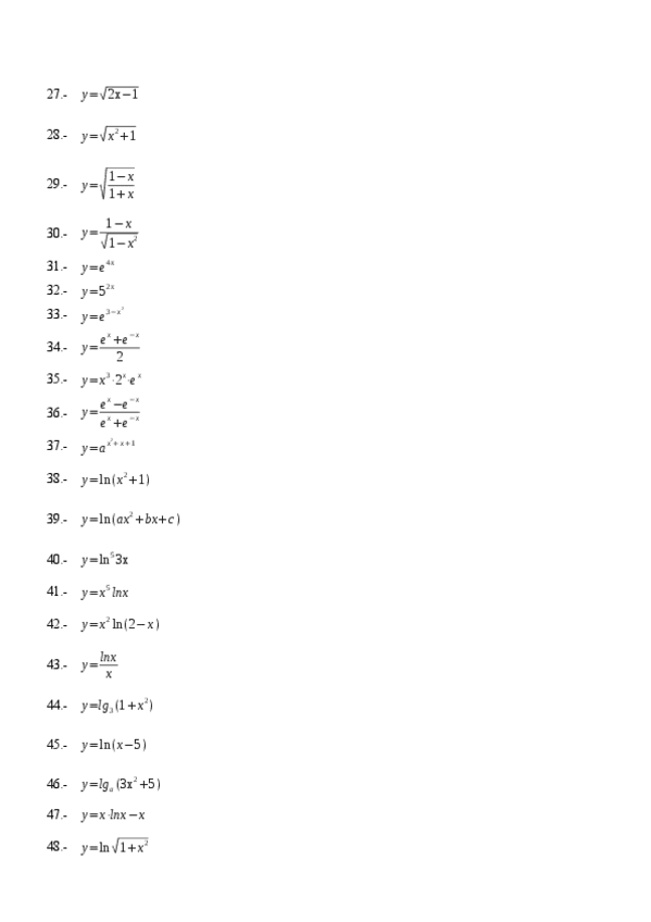
Aquí os dejo ejercicios para practicar las derivadas ;)

4 páginas

Con este tema te explico muy detalladamente las derivadas, donde incluye una tabla con todas las fórmulas necesarias.

5 páginas

Estos apuntes me han ayudado a sacar un 10 en el examen de integrales!!

6 páginas

Holaa! En mi perfil encontrarás apuntes de todas las materias de bachillerato como para la EBAU. Espero que te sirvan :)