@Trower

Bio: Apuntes de lo que me gusta y ejercicios con solución, para quien los quiera o necesite. Enunciados en negro, resolución en azul. Comentadme cualquier cosa que parezca una errata, sin pudores.

20 Publicaciones

961 Interacciones

2 Seguidores

1 Siguiendo

Lista de publicaciones de Trower

He publicado nuevos ejercicios de 2º Bases de Datos: Ejercicios-Resueltos-Modelos-E-R-Bases-de-Datos.pdf

10 páginas

apuntes

-

Apuntes SR

He publicado nuevos apuntes de 2º Seguridad en Redes: Apuntes SR

Apuntes-Tema-2-Firewalls-y-DMZ.pdf

ejercicios

-

EC Ejercicios con Solución

He publicado nuevos ejercicios de 2º Estructura de Computadores: EC Ejercicios con Solución

Tema-1-Ejercicios-Resueltos.pdf
Tema-2-Ejercicios-Resueltos.pdf
Ejercicios-Adicionales-Resueltos-de-IEEE-754.pdf

ejercicios

-

Ejercicios Resueltos Repaso PA

He publicado nuevos ejercicios de 2º Programación Avanzada: Ejercicios Resueltos Repaso PA

Java-Exer1.java
Java-Exer1.pdf
Java-tic-tac-toe.pdf

apuntes

-

Resúmenes de TAD's fundamentales

He publicado nuevos apuntes de 1º Estructuras de Datos: Resúmenes de TAD's fundamentales

Resumen-del-TAD-Lista.pdf
CamScanner-05-23-2021-03.pdf

apuntes

-

Implementaciones ED

He publicado nuevos apuntes de 1º Estructuras de Datos: Implementaciones ED

ImplementacionTADConjuntoArraydeBooleanos.pdf
EDMapasDireccionamientoAbierto.pdf

ejercicios

-

TAD's en general

He publicado nuevos ejercicios de 1º Estructuras de Datos: TAD's en general

EjercicioTAlumno.pdf
TADLista-Cifrado-Vigenere.pdf
TADConjunto-Cubinfinitesimal.pdf

He publicado nuevos ejercicios de 1º Cálculo: Ecuaciones Valor Absoluto Resueltas.pdf

2 páginas

ejercicios

-

Lógica Proposicional

He publicado nuevos ejercicios de 1º Lógica: Lógica Proposicional

LP-Deduccion-Natural.pdf
LP-Deduccion-Natural-2.pdf

ejercicios

-

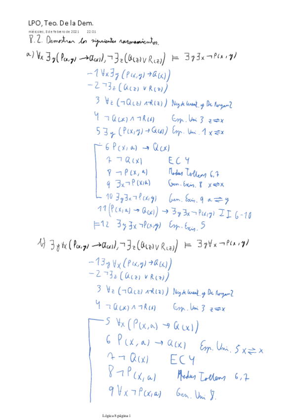
LPO

He publicado nuevos ejercicios de 1º Lógica: LPO

LPO-Teoria-de-la-Demostracion.pdf
LPO-Ejercicios-Extra.pdf