@tuampas

Bio: JELP

18 Publicaciones

116 Interacciones

3 Seguidores

1 Siguiendo

Lista de publicaciones de tuampas

He publicado nuevos apuntes de 2º Cálculo Diferencial e Integral I: Tema-7.-Optimizacion-en-varias-variables..pdf

4 páginas

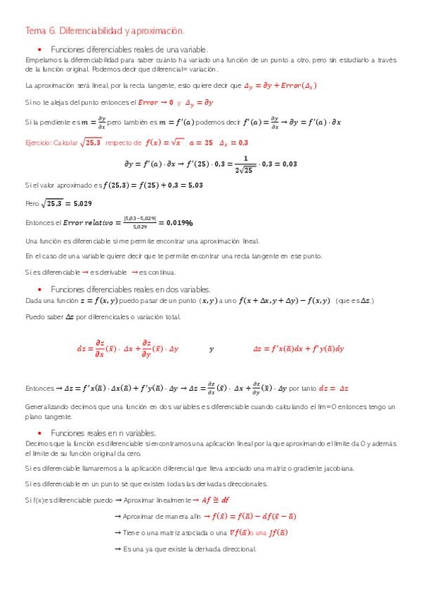
He publicado nuevos apuntes de 2º Cálculo Diferencial e Integral I: Tema-6.-Diferenciabilidad-y-aproximacion..pdf

5 páginas

He publicado nuevos apuntes de 2º Cálculo Diferencial e Integral I: Tema-5.-Derivadas-en-varias-variables.-Analisis-del-comportamiento.-Aplicaciones-en-la-economia..pdf

5 páginas

He publicado nuevos apuntes de 2º Cálculo Diferencial e Integral II: Tema-1.-Calculo-de-primitivas..pdf

6 páginas

Fórmulas importantes

3 páginas

He publicado nuevos apuntes de 2º Contabilidad General: Contabilidad-general.pdf

34 páginas

He publicado nuevos apuntes de 2º Cálculo Diferencial e Integral I: Tema-4.-Derivabilidad-de-una-funcion-de-una-variable..pdf

3 páginas

He publicado nuevos apuntes de 2º Cálculo Diferencial e Integral I: Tema-3.-Limites-y-continuidad-de-una-funcion..pdf

4 páginas

He publicado nuevos apuntes de 2º Cálculo Diferencial e Integral I: Tema-2.-Funciones-reales-de-una-y-varias-variables..pdf

3 páginas

He publicado nuevos apuntes de 2º Cálculo Diferencial e Integral I: Tema-1.-Nociones-geometricas-y-topologicas..pdf

2 páginas

Hoja de formulas y anotaciones para el examen

Imagen

He publicado nuevos apuntes de 2º Introducción a la Estadística: Introduccion-a-la-estadistica.pdf

5 páginas

He publicado nuevos apuntes de 1º Principios Jurídicos Básicos: Deontología Profesional e Igualdad: Apuntes-completos-deontologia..pdf

33 páginas

He publicado nuevos apuntes de 1º Historia y Cultura de España : Historia-temas-7-14.pdf

22 páginas

Temas 1-3, power point + apuntes

28 páginas

Recomiendo estudiar muy bien las fechas y los nombres porque es lo que mas pregunta

20 páginas

He publicado nuevos apuntes de 1º Introducción Al Marketing y a la Comunicación en la Empresa: Tema-1-Conceptos-basicos-del-marketing.pdf

6 páginas

Temario completo 2024/25

27 páginas