@tveterinariucm

30 Publicaciones

1.44k Interacciones

1 Seguidores

0 Siguiendo

Lista de publicaciones de tveterinariucm

He publicado nuevos apuntes de 3º Cría y Producción Animal Ii: PRACTICA-8-SUPUESTO-OVINO.pdf

2 páginas

He publicado nuevos apuntes de 3º Obstetricia y Reproducción I: Bloque-hembra-canina.pdf

14 páginas

He publicado nuevos apuntes de 3º Toxicología: Cuaderno-de-practicas.pdf

30 páginas

He publicado nuevos apuntes de 3º Tecnología de los Alimentos: Teoria-temas-11-16-32.pdf

36 páginas

He publicado nuevos apuntes de 3º Tecnología de los Alimentos: Teoria-temas-1-10.pdf

32 páginas

He publicado nuevos apuntes de 3º Obstetricia y Reproducción I: Bloque-vacas-completo.pdf

18 páginas

He publicado nuevos practicas de 1º Fisiología Veterinaria I: FISIOLOGIA-PRACTICAS-TODO-RESUMEN.pdf

15 páginas

apuntes

-

TEMAS 1-17 DEONTO

He publicado nuevos apuntes de 1º Deontología, Medicina Legal y Legislación: TEMAS 1-17 DEONTO

TEMA-3-RESUMEN.docx
TEMA-4-RESUMEN.docx
TEMA-1-RESUMEN.docx
TEMA-5-RESUMEN.docx
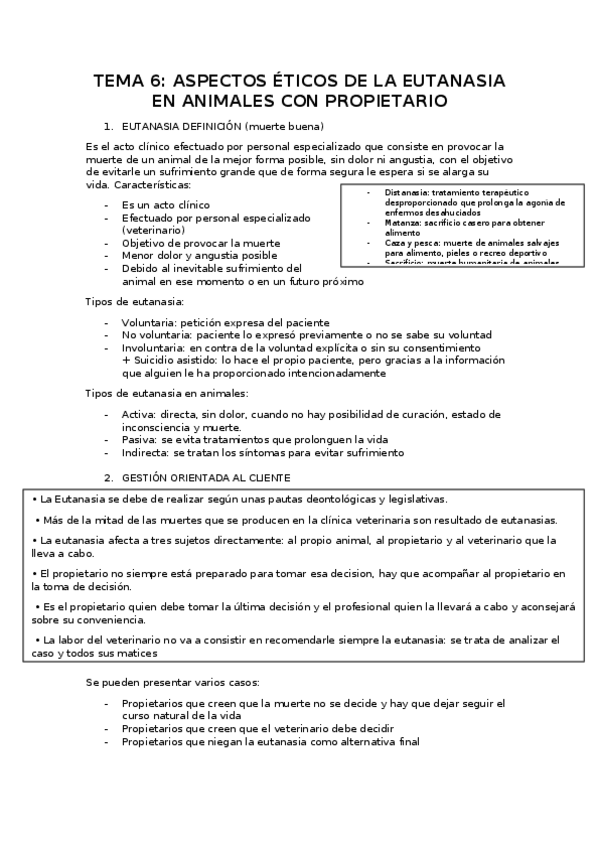
TEMA-6-RESUMEN.docx
TEMA-2-RESUMEN.docx

apuntes

-

TEMAS 1-2

He publicado nuevos apuntes de 1º Histología Veterinaria: TEMAS 1-2

Tema-1-Conceptos.pdf

practicas

-

PRÁCTICAS FISICA

He publicado nuevos practicas de 1º Física y Bioestadística Aplicadas a la Veterinaria: PRÁCTICAS FISICA

PRACTICA-6.pdf
PRACTICA-4-NEREA-RAMOS.pdf
PRACTICA-3-NEREA-RAMOS.pdf
PRACTICA-2-NEREA-RAMOS.pdf
PRACTICA-1.pdf