@ugr_derecho

Estudios: Grado en Derecho (UGR) ...Mostrar más

41 Publicaciones

293 Interacciones

0 Seguidores

3 Siguiendo

Lista de publicaciones de ugr_derecho

apuntes

-

ECONOMÍA EVAU ANDALUCIA

He publicado nuevos apuntes de 2º Lengua Castellana y Literatura II: ECONOMÍA EVAU ANDALUCIA

BLOQUES-ECONOMIA.pdf
BLQOUE-6-economia.pdf
BLOQUE-5-economia.pdf
BLOQUE-1-ECONOMIA.pdf
BLOQUE-3-ECONOMIA.pdf
BLOQUE-2-economia.pdf

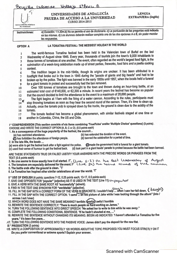
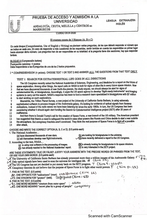
He publicado nuevos examenes de 2º Inglés II: examenes-de-ingles-5.pdf

3 páginas

He publicado nuevos examenes de 2º Inglés II: examenes-de-ingles-3.pdf

1 página

He publicado nuevos examenes de 2º Inglés II: examenes-de-ingles-6.pdf

5 páginas

He publicado nuevos examenes de 2º Inglés II: examenes-de-ingles-4.pdf

1 página

He publicado nuevos examenes de 2º Inglés II: examenes-de-ingles-2.pdf

1 página

He publicado nuevos examenes de 2º Inglés II: examenes-de-ingles.pdf

1 página

He publicado nuevos apuntes de 2º Historia de la Filosofía: Descartes-Platon-Kant.pdf

21 páginas

He publicado nuevos apuntes de 2º Historia de España: PRIMO-DE-RIVERA.pdf

10 páginas

apuntes

-

Siglo XX 2ª parte

He publicado nuevos apuntes de 2º Historia de España: Siglo XX 2ª parte

LOS-GOBIERNOS-DEMOCRATICOS.pdf
TRANSICION.pdf
FRANQUISMO.pdf

He publicado nuevos apuntes de 2º Matemáticas aplicadas a las Ciencias Sociales II: ESTADISTICA 2 bachillerato.pdf

5 páginas

He publicado nuevos apuntes de 2º Matemáticas aplicadas a las Ciencias Sociales II: 2 bachiller PROBABILIDAD.pdf

2 páginas

apuntes

-

Economía

He publicado nuevos apuntes de 1º Economía: Economía

TABLA-CONTABILIDAD.pdf
ECONOMIA-TEMA-1.pdf
ECONOMIA-TEMA-3.pdf
ECONOMIA-TEMA-2.pdf
ECONOMIA-TEMA-4.pdf
ECONOMIA-TEMA-5.pdf

He publicado nuevos apuntes de 1º Filosofía: PLATON 2 bachillerato.pdf

16 páginas

apuntes

-

Historia

He publicado nuevos apuntes de 1º Filosofía: Historia

Historia-LA-RESTAURACION.pdf
Historia-EL-SEXENIO-DEMOCRATICO.pdf

He publicado nuevos apuntes de 2º Geografía: GEOGRAFIA-bloque-3.pdf

6 páginas

He publicado nuevos apuntes de 2º Geografía: GEOGRAFIA-BLOQUE-4.pdf

15 páginas

He publicado nuevos apuntes de 2º Geografía: BLOQUE-2-GEOGRAFIA.pdf

6 páginas