@uisito

49 Publicaciones

2.14k Interacciones

1 Seguidores

0 Siguiendo

Lista de publicaciones de uisito

He publicado nuevos examenes de 3º Física Estadística: Demostraciones.pdf

8 páginas

examenes

-

Exámenes Resueltos

He publicado nuevos examenes de 3º Física Estadística: Exámenes Resueltos

050619.pdf
050721.pdf
100616.pdf
150621.pdf
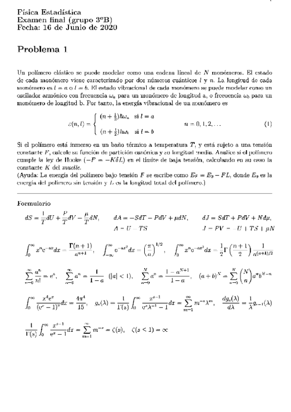
160620.pdf
190620.pdf

He publicado nuevos apuntes de 3º Física Estadística: Resumen-Teoria.pdf

4 páginas

apuntes

-

Apuntes MC (todo)

He publicado nuevos apuntes de 4º Mecánica Cuántica: Apuntes MC (todo)

Indice.pdf
T1-Introduccion.pdf
T2-Formalismo.pdf
T3-Postulados.pdf
T4-Simetrias.pdf
T5-Traslaciones-temporales.pdf

ejercicios

-

Exámenes Resueltos

He publicado nuevos ejercicios de 3º Física Estadística: Exámenes Resueltos

EjsCanonica.pdf
EjsGasesCuanticos.pdf
EjsMacrocanonica.pdf
EjsMicrocanonica.pdf
EjsSistemasIdeales.pdf

apuntes

-

Apuntes 22/23 (todo)

He publicado nuevos apuntes de 4º INFORMACIÓN CUÁNTICA Y APLICACIONES: Apuntes 22/23 (todo)

Tema-1-Introduccion.pdf
Tema-2-Matriz-densidad.pdf
Tema-3-Entrelazamiento.pdf
Tema-4-Dinamica-Cuantica-Generalizada.pdf
Tema-5-Teoria-de-Medidas-Cuanticas.pdf
Tema-6-Criptografia-Cuantica.pdf