@unapers0nita

Estudios: Grado en Ingeniería Química (US) ...Mostrar más

66 Publicaciones

2.24k Interacciones

0 Seguidores

0 Siguiendo

Lista de publicaciones de unapers0nita

apuntes

-

Resúmenes para aprobar

He publicado nuevos apuntes de 4º Tratamiento de Efluentes Gaseosos: Resúmenes para aprobar

TEMA-2-ELFUENTES.pdf
TEMA-3-ELFUENTES.pdf
TEMA-4-CONTROL-DE-LAS-EMISIONES-DE-S02.pdf
Resumenes-efluentes10-11-12-13-14.pdf

He publicado nuevos apuntes de 4º Proyectos: Problemas-para-aprobar.pdf

6 páginas

He publicado nuevos apuntes de 3º Análisis Químico: FALSO-FINAL-2425.pdf

1 página

He publicado nuevos apuntes de 3º Análisis Químico: Examenes-2024.pdf

2 páginas

He publicado nuevos apuntes de 3º Análisis Químico: problemas-todos-los-tipos.pdf

12 páginas

He publicado nuevos apuntes de 3º Tecnología Energética: Examenes-tipo-test-recopilacion.pdf

54 páginas

apuntes

-

Problemas, exámenes y formularios

He publicado nuevos apuntes de 2º Fundamentos de Ciencia de Materiales: Problemas, exámenes y formularios

Bloque-1.pdf
Bloque-2.pdf
Bloque-3.pdf
Formulario.pdf
Junio-2018.pdf
problemas-B1.pdf

He publicado nuevos apuntes de 2º Termodinámica: Ejercicios-del-2o-parcial-claves.pdf

15 páginas

apuntes

-

1º PARCIAL

He publicado nuevos apuntes de 2º Termodinámica: 1º PARCIAL

Importante-para-los-problemas.pdf
ejercicios-basicos.pdf
Ejercicios-de-CICLOS.pdf
Cosas-basicas-del-1o-parcial.pdf
LO-IMPORTANTE-DE-LAS-TABLAS-DE-TERMO.pdf

He publicado nuevos apuntes de 2º Fundamentos de Ingeniería Química: resumenes-y-ejercicios-base.pdf

18 páginas

apuntes

-

seminarios otros años

seminarios otros años

seminarios-2023.pdf
Seminarios-2021.pdf
seminarios-2022.pdf

apuntes

-

PYTHON RESUMEN,PRACTICAS

He publicado nuevos apuntes de 1º Informática: PYTHON RESUMEN,PRACTICAS

EXAMEN-2021-Y-RESUMEN-DE-LOS-TEMAS.pdf
PRACTICAS-20222023-DE-PYTHON.pdf
Miniatura no disponible
ejercicios-python-2.zip
Miniatura no disponible
ejercicios-python.zip

apuntes

-

ejercicios, resumenes de C

He publicado nuevos apuntes de 1º Informática: ejercicios, resumenes de C

EJERCICIOS-DE-C.pdf
TEMAS-RESUMEN-C.pdf
EJERCICIOS-EXPLICACION-C.pdf
RESUEMN-MUY-RESUMIDO-C.pdf

He publicado nuevos apuntes de 1º Estadística e Investigación Operativa: Examenmontaje.pdf

3 páginas

He publicado nuevos apuntes de 1º Estadística e Investigación Operativa: Formulario-extra.pdf

2 páginas

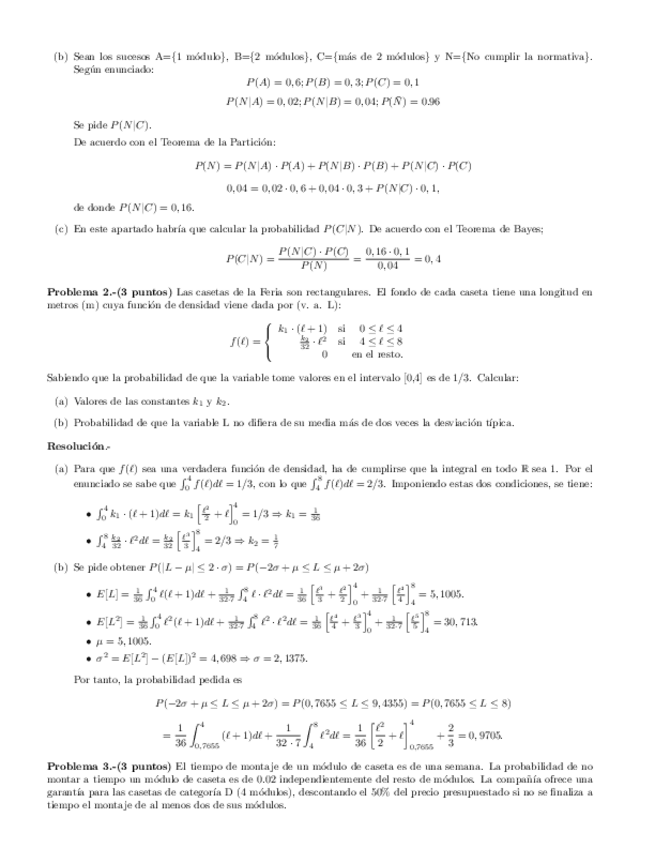
He publicado nuevos examenes de 1º Estadística e Investigación Operativa: examenes-resueltos.pdf

8 páginas

He publicado nuevos ejercicios de 1º Estadística e Investigación Operativa: Ejercicios-resueltos.pdf

12 páginas