@ungiirl

Estudios: Grado en Ingeniería Biomédica (UAM) ...Mostrar más

Bio: - Título de bachibac en 2023-2024 - Ingeniería biomédica UAM 2024-2025

29 Publicaciones

605 Interacciones

9 Seguidores

0 Siguiendo

Lista de publicaciones de ungiirl

ejercicio global ordinaria 2025

1 página

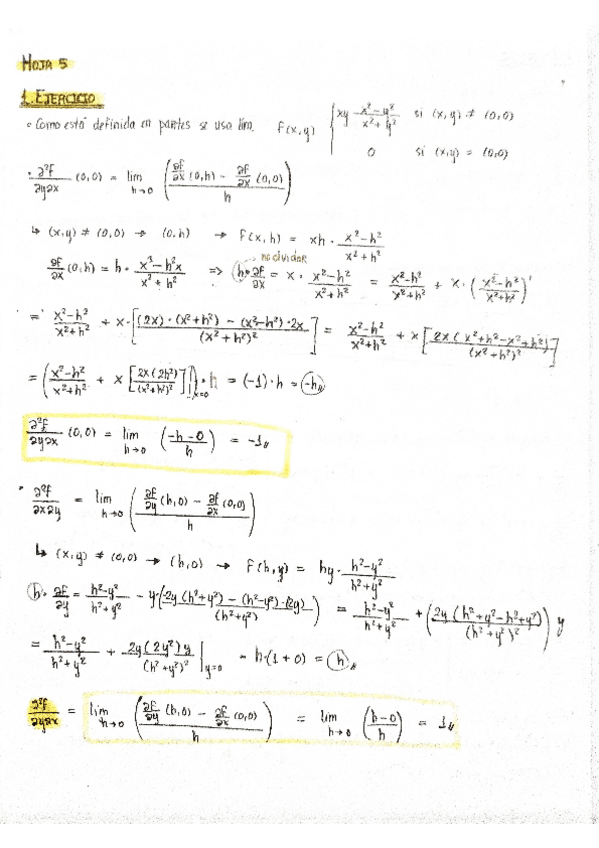
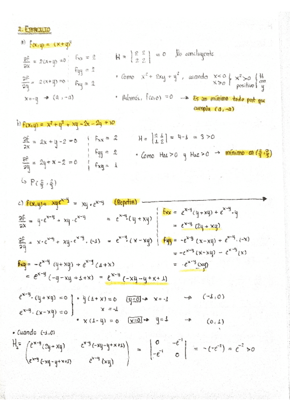
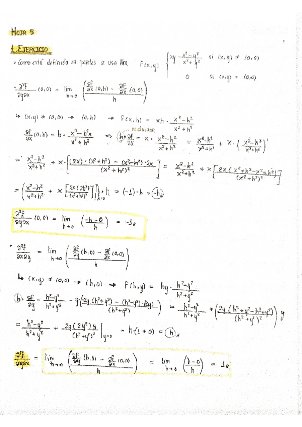
He publicado nuevos apuntes de 1º Matemáticas II: hoja5soluciones.pdf

7 páginas

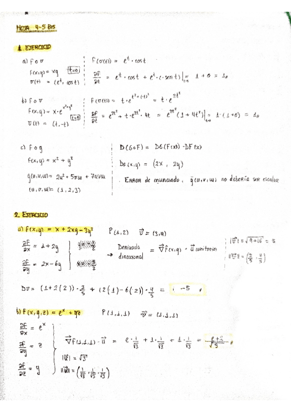
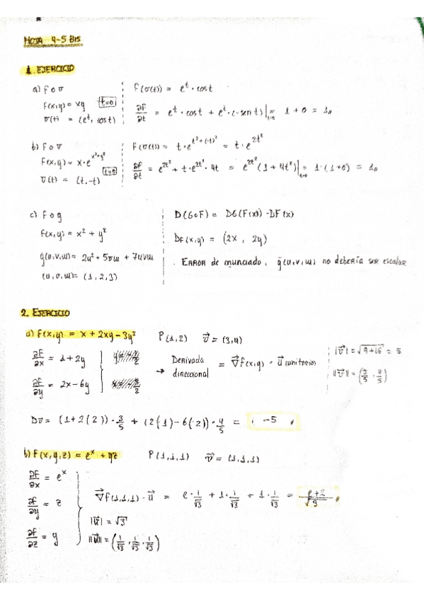
He publicado nuevos apuntes de 1º Matemáticas II: hoja45-bis.soluciones.pdf

4 páginas

He publicado nuevos apuntes de 1º Matemáticas II: hoja4soluciones.pdf

8 páginas

Fotos de los circuitos armados

7 páginas

He publicado nuevos apuntes de 1º Matemáticas II: HOJA-1-RESUELTA.pdf

11 páginas

He publicado nuevos apuntes de 1º Física I: regimen-permanente-sondas.pdf

27 páginas

He publicado nuevos apuntes de 1º Física I: Campo-electrico.pdf

28 páginas

He publicado nuevos apuntes de 1º Biología Celular y Genética: HISTOLIGIA-BLOQUE5-ACTUALIZADO.pdf

11 páginas

He publicado nuevos apuntes de 1º Física I: formulario-tema-1.pdf

2 páginas

He publicado nuevos apuntes de 1º Física I: demostraciones-ELECTROESTATICA.pdf

12 páginas

He publicado nuevos ejercicios de 1º Química General: tema-6-EJERCICIOS-ENTREGA.pdf

4 páginas

He publicado nuevos apuntes de 1º Biología Celular y Genética: DEGRADACION-DE-PROTEINAS.pdf

3 páginas

errores: en la parte 4.2.1 poner la doble flecha de equilibrio; 4.3.1 poner las reacciones globales;

6 páginas

nota de informe: 9,8; error en la parte II, son 16H+

8 páginas

nota del informe: 9,7. Error en el anexo de errores parte 1, no sume los volumenes correctamente

9 páginas

nota del informe: 9,5. Error no usar dos decimales en el calculo de pH, no comenté que pH=pKa; en el pH H3PO4 había que comprobar 2ºH+

9 páginas

Solución de la matriz inversa del ejercicio propuesto

1 página

Cooper 7º edición- Bloque 4

4 páginas

He publicado nuevos apuntes de 1º Física I: Electrostatica.pdf

14 páginas