@univet

35 Publicaciones

2.38k Interacciones

2 Seguidores

0 Siguiendo

Lista de publicaciones de univet

apuntes

-

recopilatorio preguntas test

He publicado nuevos apuntes de 5º Gestión de la Seguridad Alimentaria: recopilatorio preguntas test

recopilatorio-tipo-test-contestado-y-corregido.pdf
recopilatorio-tipo-test-sin-contestar.pdf

He publicado nuevos practicas de 5º Toxicología: memoria-de-practicas-2425.pdf

25 páginas

He publicado nuevos apuntes de 5º Medicina Preventiva y Política Sanitaria Veterinarias: practica-3.pdf

2 páginas

He publicado nuevos apuntes de 4º Reproducción y Obstetricia: recopilacion-test-2o-parcial-respondidas.pdf

9 páginas

He publicado nuevos examenes de 4º Reproducción y Obstetricia: PREGUNTAS-PARCIAL-JUNIO-Y-JULIO-2023-2024.pdf

1 página

apuntes

-

recopilatorio tests 2º parcial

He publicado nuevos apuntes de 3º Enfermedades Infecciosas: recopilatorio tests 2º parcial

test-contestada.pdf
test-sin-contestar.pdf

He publicado nuevos apuntes de 3º Producción Animal e Higiene Veterinaria: todo-lo-necesario-de-aves.pdf

1 página

examenes

-

recopilatorio test 1º parcial

He publicado nuevos examenes de 3º Enfermedades Infecciosas: recopilatorio test 1º parcial

test-contestado.pdf
test-sin-contestar.pdf

apuntes

-

ejercicios economia

He publicado nuevos apuntes de 5º Economía de la Producción Ganadera: ejercicios economia

ejercicios-oferta-y-demanda.pdf
examen-diciembre.pdf
ejercicios-produccion.pdf

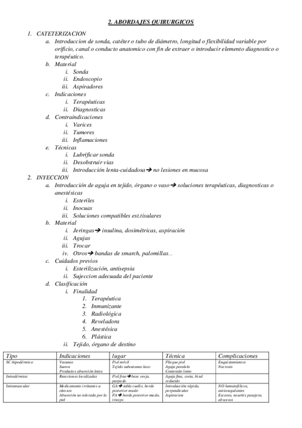
He publicado nuevos apuntes de 4º Patología Quirúrgica: recopilatorio-preguntas-largas-1o-parcial.pdf

18 páginas

He publicado nuevos apuntes de 4º Deontología, Medicina Legal y Legislación Veterinaria: PRACTICA-3.pdf

1 página

He publicado nuevos apuntes de 3º Producción Animal e Higiene Veterinaria: PREGUNTAS-FRECUENTES-POR-TEMAS-DE-PORCINO-Y-AVES.pdf

4 páginas

He publicado nuevos apuntes de 4º Inspección y Control Alimentario: trabajo-tema-1.-PNCOCA.pdf

1 página

He publicado nuevos apuntes de 4º Higiene Alimentaria: recopilatorio-preguntas-largas.pdf

11 páginas

apuntes

-

recopilatorio preguntas test

He publicado nuevos apuntes de 4º Anestesiología y Cuidados Intensivos: recopilatorio preguntas test

recopilatorio-preguntas-test-contestadas.pdf
recopilatorio-preguntas-test-sin-contestar.pdf

He publicado nuevos apuntes de 3º Producción Animal e Higiene Veterinaria: preguntas-frecuentes-grandes-rumiantes.pdf

11 páginas

He publicado nuevos apuntes de 4º Reproducción y Obstetricia: Practica-12.pdf

1 página

He publicado nuevos apuntes de 4º Reproducción y Obstetricia: PRACTICA-11.pdf

2 páginas

apuntes

-

Primer parcial

He publicado nuevos apuntes de 4º Patología Quirúrgica: Primer parcial

7.pdf
6.pdf
2.pdf
5.pdf
3.pdf

He publicado nuevos apuntes de 3º Anatomía Patológica Sistemática: Segundo-parcial.pdf

73 páginas