@UnPoco_DeTodo

Estudios: Grado en Ingeniería Informática (UPV) ...Mostrar más

12 Publicaciones

250 Interacciones

7 Seguidores

1 Siguiendo

Lista de publicaciones de UnPoco_DeTodo

He publicado nuevos apuntes de 1º Estadística: UNIDAD-3-estadistica--ejercicios.pdf

3 páginas

He publicado nuevos examenes de 1º Fundamentos Físicos de la Informática: Test5.Magnetismo-Induccion-flujo.pdf

6 páginas

He publicado nuevos examenes de 1º Fundamentos Físicos de la Informática: TestMagnetismoETSINF.docx

word

Todo el tema de magnetismo en una sola página. Formulario para examen

1 página

Todo el tema de ONDAS en 9 páginas. Reflexión, refracción, Luz, Sonido y Movimiento Armónico Simple

9 páginas

En una sola página tienes un resumen con las fórmulas de todo el tema de ONDAS

2 páginas

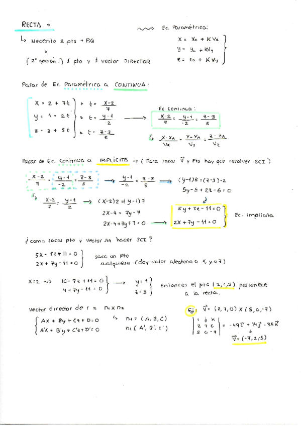
He publicado nuevos apuntes de 2º Matemáticas II: Apuntes-geometria-analitica.pdf

4 páginas

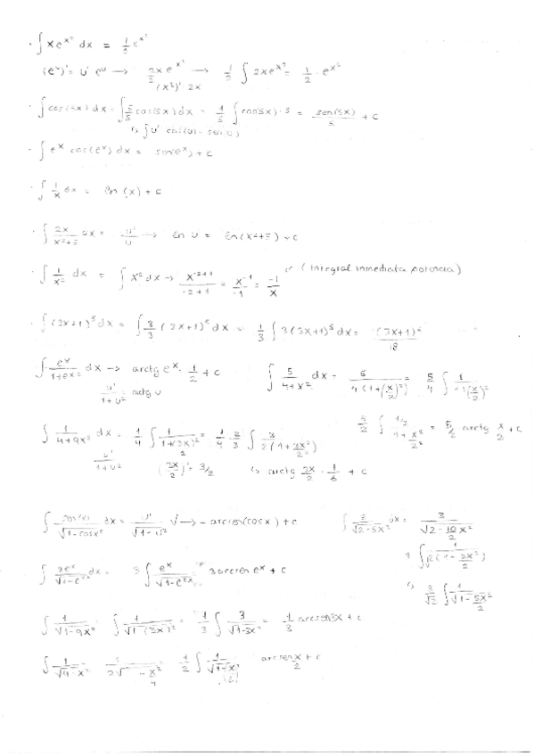
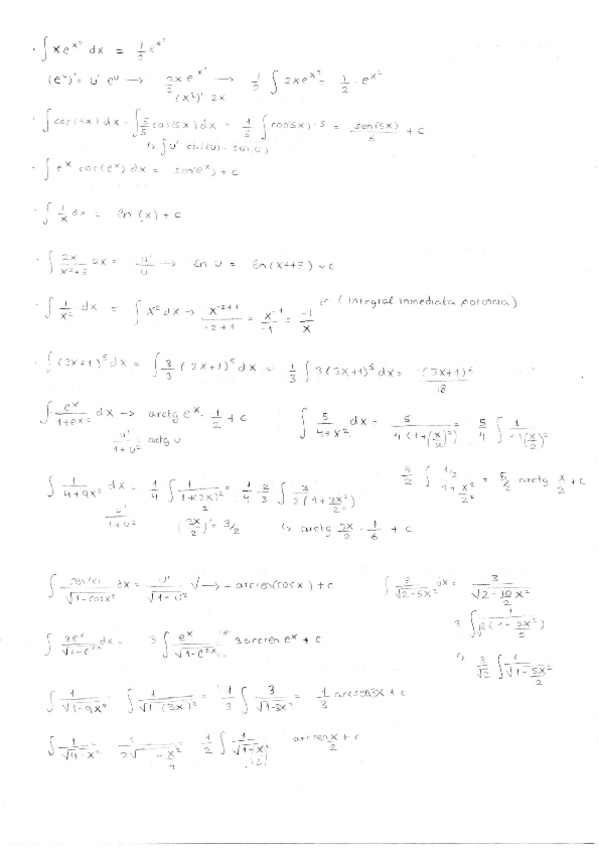
resumen de integrales inmediatas y ejercicios . Espero que os sirva :)

4 páginas

Todo lo que hay que saber para analizar una función. Derivadas, integrales y demás. He subido otro documento con ejercicios. Espero que os sirva :)

5 páginas

Por alguna razón al inicio del documento se guarda media página en blanco. No consigo quitarla, pero bueno, los apuntes siguen ahí aunque haya salido rarillo el pdf. Espero que os sirva :)

3 páginas

He publicado nuevos practicas de 1º Matemática Discreta: resumen-practicas-1-2-3-4-MAD.pdf

2 páginas

Son apuntes de bachiller, para recordar lo que hay que saber para el primer parcial.

4 páginas