@Upm_offender
33 Publicaciones
1.37k Interacciones
0 Seguidores
0 Siguiendo
Lista de publicaciones de Upm_offender
examenes
-
Examen Junio 2025
He publicado nuevos examenes de 2º Electromagnetismo: Examen Junio 2025
He publicado nuevos examenes de 2º Modelización y Análisis Numérico: Examen-Lab-Elementos-Finitos-1D-Julio-2025.pdf
He publicado nuevos examenes de 2º Modelización y Análisis Numérico: Examen-Lab-Diferencias-Finitas-2D-Julio-2025.pdf
He publicado nuevos examenes de 2º Modelización y Análisis Numérico: Examen-Lab-Diferencias-Finitas-1D-Julio-2025.pdf
He publicado nuevos examenes de 2º Modelización y Análisis Numérico: Parcial-2-Julio-2025.pdf
He publicado nuevos examenes de 2º Modelización y Análisis Numérico: Parcial-1-Julio-2025.pdf
He publicado nuevos examenes de 2º Modelización y Análisis Numérico: Examen-Mode-Junio-2022.pdf
He publicado nuevos examenes de 4º Mercado y Transporte de la Energía Eléctrica: Examen-MTEE-Enero-2025.pdf
He publicado nuevos examenes de 4º Mercado y Transporte de la Energía Eléctrica: Examen-MTEE-Julio-2024.pdf
He publicado nuevos examenes de 4º Mercado y Transporte de la Energía Eléctrica: Solucion-MTEE-Enero-2024.pdf
He publicado nuevos examenes de 4º Mercado y Transporte de la Energía Eléctrica: Solucion-MTEE-Junio-2023.pdf
He publicado nuevos examenes de 4º Mercado y Transporte de la Energía Eléctrica: Solucion-MTEE-Enero-2023.pdf
He publicado nuevos examenes de 4º Energías Renovables: Examen-Solar-2024.pdf
Jugadores universitarios, Bienvenidos al Juego de Enero. Aquí no hay 45.6 mil millones de wones en juego, pero sí algo aún más preciado: la poca dignidad que ya os queda y ese título que aún parece un espejismo en el horizonte. Este no es un lugar para débiles, ni para soñadores. Aquí solo hay una regla: sobrevive a los exámenes o enfrenta el eterno castigo de repetir la asignatura con el profesor más temido de la facultad. Antes de empezar, os hemos dado una tregua para que disfrutéis de las fiestas navideñas. Un pequeño respiro entre villancicos, brindis forzados y el dulce consuelo de un buen roscón de Reyes. Pero no os engañéis: esa paz es solo la antesala de este infierno. Mientras os preguntáis si el haba os haría pagar el roscón o si sois los afortunados con la figurita, los exámenes ya acechan en la sombra, listos para devoraros. Las pruebas que enfrentaréis no son simples retos. Son un laberinto diseñado para quebrar incluso al más aplicado. Nosotros, los guardianes, os observamos en silencio. No somos más que peones en este cruel espectáculo, asegurándonos de que el ciclo continúe. Sabemos lo que significa enfrentarse a una hoja en blanco mientras el reloj avanza implacable. Pero también sabemos que algunos de vosotros saldréis victoriosos... aunque solo sea con un mísero 5 pelado. Así que preparaos. No hay piedad, no hay segundas oportunidades... Bueno, las hay, pero se llaman recuperaciones, y os garantizamos que son aún peores. Y ahora, jugadores, dejad atrás los días de fiesta. Abandonad cualquier esperanza de descanso. Porque aquí, en este preciso momento… Comienza el Juego de Enero

He publicado nuevos examenes de 4º Energías Renovables: Solucion-Eolica-Julio-2024.pdf
He publicado nuevos examenes de 4º Energías Renovables: Solucion-Eolica-Enero-2024.pdf
He publicado nuevos examenes de 4º Energías Renovables: Solucion-Eolica-Julio-2023.pdf
He publicado nuevos examenes de 4º Energías Renovables: Solucion-Eolica-Enero-2020.pdf
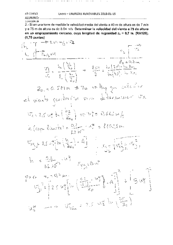
He publicado nuevos examenes de 4º Energías Renovables: Solucion-Eolica-Enero-2019.pdf
He publicado nuevos examenes de 4º Energías Renovables: Solucion-Eolica-Enero-2018.pdf