@Useernaamee29

127 Publicaciones

8.57k Interacciones

8 Seguidores

0 Siguiendo

Lista de publicaciones de Useernaamee29

He publicado nuevos apuntes de 2º Sistemas Operativos: Practica-IntalacioApp-ASO.pdf

1 página

He publicado nuevos apuntes de 2º Sistemas Operativos: ASOcopiesdeseguretatpractica.pdf

3 páginas

He publicado nuevos apuntes de 2º Sistemas Operativos: practica-de-permisosASO.pdf

2 páginas

He publicado nuevos apuntes de 2º Empresa y Entorno Económico: PEC62022-2023q2.pdf.pdf

7 páginas

He publicado nuevos examenes de 2º Empresa y Entorno Económico: pec5-2022-2023q2.pdf

4 páginas

He publicado nuevos examenes de 3º Interacción y Diseño de Interfaces: examen-final-20-21-q2.pdf

6 páginas

He publicado nuevos examenes de 3º Interacción y Diseño de Interfaces: examen-final-15-16-q2.pdf

6 páginas

He publicado nuevos practicas de 2º Redes de Computadores: XC-previ-Lab-3.pdf

1 página

He publicado nuevos practicas de 2º Redes de Computadores: laboratori-xc-grau-v17.pdf

52 páginas

examenes

-

examen teoria final so

He publicado nuevos examenes de 2º Sistemas Operativos: examen teoria final so

examen-teoria-2016-2017.pdf
examen-teoria-2016-2017primavera.pdf
examen-teoria-so-2017-2018-primavera.pdf
examen-teoria-so-2017-2018.pdf
examen-teoria-so-2018-2019-primavera.pdf
examen-teoria-so-2018-2019.pdf

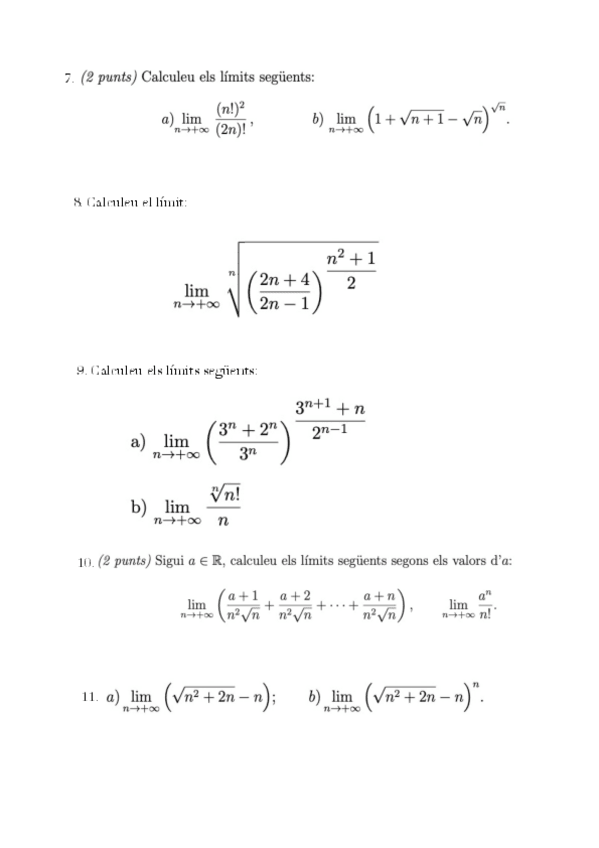
He publicado nuevos examenes de 1º Matemáticas II: Soluciones-limits.pdf

7 páginas

He publicado nuevos ejercicios de 1º Matemáticas II: Limits-ex.pdf

3 páginas

He publicado nuevos apuntes de 1º Matemáticas II: limits--succesions-teoria.pdf

4 páginas

He publicado nuevos practicas de 2º Arquitectura de Computadores: Ac-practiques-fetes.pdf

27 páginas

He publicado nuevos examenes de 2º Introducción a la ingeniería del software: IES-3ercontrol-QP2122.pdf

6 páginas

He publicado nuevos practicas de 2º Introducción a la ingeniería del software: IES-3aentregadedisseny-QT2223.pdf

2 páginas

examenes

-

Examens Lab idi

He publicado nuevos examenes de 3º Interacción y Diseño de Interfaces: Examens Lab idi

ProvaLab-1718Q2.pdf
ProvaLab-2021Q2.pdf
ProvaLab-2122Q1.pdf
Exemple-ProvaLab.pdf
2022p-c1-sol.pdf
2019-2020.pdf

examenes

-

segon examen teoria so

He publicado nuevos examenes de 2º Sistemas Operativos: segon examen teoria so

segon-examen-teoria-2019-2020.pdf
segon-examen-teoria-so-primavera-2017-20.pdf
segon-examen-teoria-so-2018-2019.pdf
segon-examen-teoria-so-2018-2019-primave.pdf
segon-examen-teoria-so-2017-2018.pdf
segon-examen-teoria-so-2016-2017.pdf

apuntes

-

Resum Teoria + Exercicis M1

He publicado nuevos apuntes de 1º Matemáticas I: Resum Teoria + Exercicis M1

tema-2--exercicis-m1.pdf
tema-4-m1.pdf
tema1-m1--exercicis.pdf
tema3--exercicis-m1.pdf
tema5-m1.pdf
tema6-exercicis-m1.pdf