@user017

16 Publicaciones

212 Interacciones

3 Seguidores

1 Siguiendo

Lista de publicaciones de user017

Resueltos en clase

4 páginas

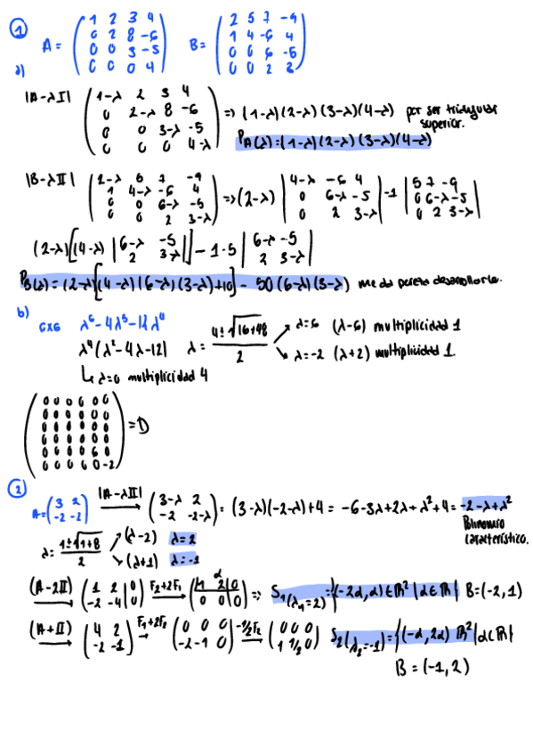
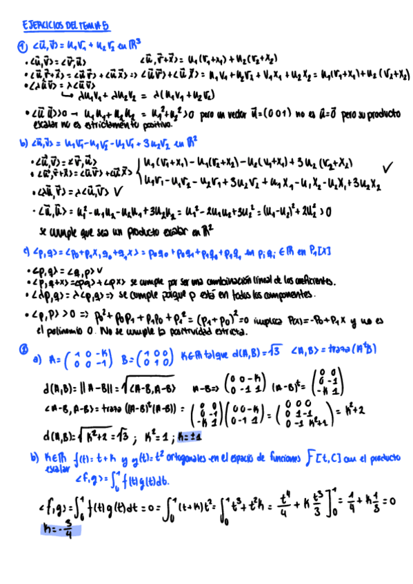
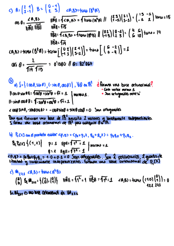
Ejercicios del tema 5, los últimos están resueltos como los resolvería la profesora

10 páginas

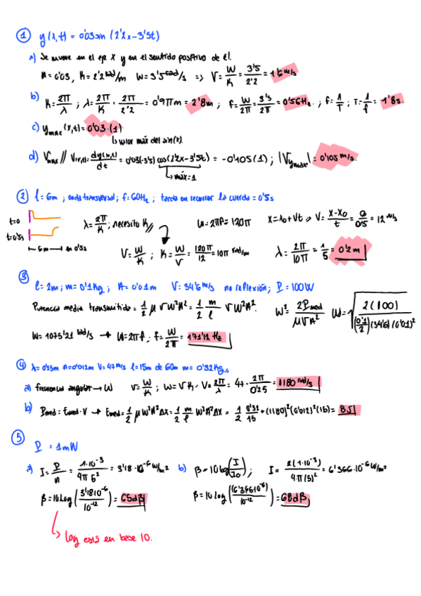
Muchos ejercicios del tema 4

16 páginas

Sin enunciados, pero se ve los procesos para resolver estos tipos de ejercicios

8 páginas

Ensayo del segundo trimestre resuelto

7 páginas

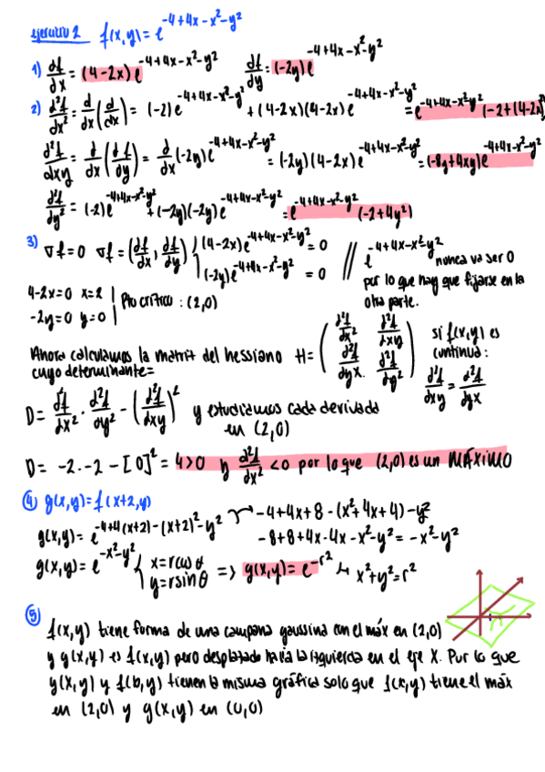
Algunos ejercicios resueltos que combinan tema 3 y 4

6 páginas

Tema 4 Circuitos Digitales

6 páginas

EJERCICIOS resueltos del tema 4 sin enunciados

6 páginas

ejercicios resueltos tema 3 sin los enunciados

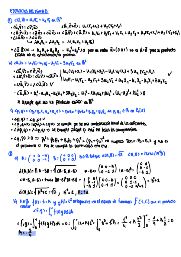
3 páginas

Ejercicios del tema 2 resueltos sin enunciados

3 páginas

Ejercicios resueltos sin enunciados del tema 1 curso 2024-2025

4 páginas

He publicado nuevos apuntes de 1º Física I: CUESTIONARIO-COMPLETO-FISICA-I.pdf

2 páginas

tema importante para aprobar el examen final. Practicar mucho los ejercicios de este tema y ejemplos

17 páginas

Tema clave para apartados de exámenes con momentos o leyes de newton

12 páginas

tema clave para el primer ejercicio del examen. Velocidad, aceleración , posición...

10 páginas

Tema 1 Introducción

6 páginas