@user233

5 Publicaciones

85 Interacciones

0 Seguidores

1 Siguiendo

Lista de publicaciones de user233

He publicado nuevos apuntes de 2º Arquitectura de Computadores: LocalidadEspacial-Temporal.pdf

2 páginas

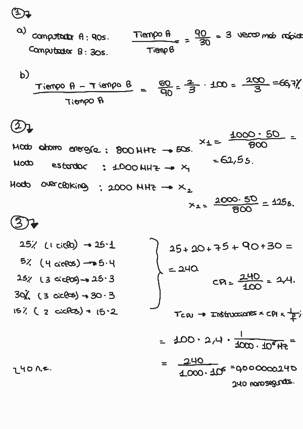
He publicado nuevos apuntes de 2º Arquitectura de Computadores: Relacion-2.pdf

6 páginas

He publicado nuevos apuntes de 2º Arquitectura de Computadores: Relacion1.pdf

5 páginas

He publicado nuevos apuntes de 2º Arquitectura de Computadores: LDR-y-STR-EXPLICACION.pdf

1 página

He publicado nuevos apuntes de 2º Arquitectura de Computadores: Relacion-4-Resuelta240111171905.pdf

5 páginas