@user_1419932

61 Publicaciones

695 Interacciones

2 Seguidores

0 Siguiendo

Lista de publicaciones de user_1419932

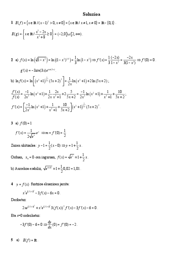
He publicado nuevos apuntes de 1º Matemáticas I: 2022-partzial-1.pdf

4 páginas

He publicado nuevos apuntes de 1º Matemáticas I: 2021-partzial-1-B.pdf

1 página

He publicado nuevos apuntes de 1º Matemáticas I: 2020-partziala-1-A.pdf

4 páginas

He publicado nuevos apuntes de 1º Matemáticas I: 2020-partziala-1-B.pdf

4 páginas

He publicado nuevos apuntes de 1º Matemáticas I: Ejemplo-parcial-mate-I-E.pdf

2 páginas

He publicado nuevos apuntes de 1º Matemáticas I: Ejemplo-parcial-mate-I-C.pdf

2 páginas

He publicado nuevos apuntes de 1º Matemáticas I: Ejemplo-parcial-mate-I-D.pdf

2 páginas

He publicado nuevos apuntes de 1º Matemáticas I: Ejemplo-parcial-mate-I-B.pdf

5 páginas

He publicado nuevos apuntes de 1º Matemáticas I: Ejemplo-parcial-mate-I-A.pdf

1 página

He publicado nuevos apuntes de 1º Economía de la Empresa: Organización y Dirección: Enpresa-II-apunte-GUZTIAK.pdf

59 páginas

He publicado nuevos apuntes de 1º Introducción a la Economía II: Principios de Macroeconomía: Makroekonomia-Sarrera-Apunte-guztiak.pdf

63 páginas

He publicado nuevos apuntes de 1º Economía de la Empresa : Introducción: enpresa-I-gai-guztiak.pdf

68 páginas

He publicado nuevos apuntes de 1º Historia Económica: historia-apunte-gai-guztiak.pdf

56 páginas

He publicado nuevos apuntes de 1º Lengua Castellana y Literatura I: Literatura-generacion-del-98-modernismo-Generacion-del-27.pdf

2 páginas

He publicado nuevos apuntes de 1º Economía: Ekonomia-kanpo-merataritza-10.-GAIA.pdf

4 páginas

He publicado nuevos apuntes de 1º Economía: Ekonomia-sektore-publiko-eta-ekonomia-9.-GAIA.pdf

5 páginas

He publicado nuevos apuntes de 2º Inglés II: Gerund-and-infinitive--causative-Apuntes-II.pdf

1 página

He publicado nuevos apuntes de 2º Inglés II: Reporter-speech-Apuntes-II.pdf

1 página

He publicado nuevos apuntes de 2º Inglés II: Modals-verbs-apuntes-II.pdf

1 página

He publicado nuevos apuntes de 2º Inglés II: Conditionals--The-passive-voice-apuntes-II.pdf

1 página