@user_1569753

67 Publicaciones

1.93k Interacciones

4 Seguidores

0 Siguiendo

Lista de publicaciones de user_1569753

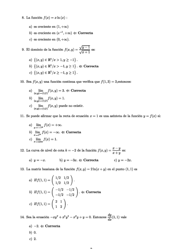
He publicado nuevos examenes de 1º Matemáticas Para la Empresa I: Junio21-Tipo01-resuelto.pdf

3 páginas

He publicado nuevos apuntes de 1º Matemáticas Para la Empresa I: Julio21-Tipo01-resuelto.pdf

4 páginas

He publicado nuevos examenes de 1º Matemáticas Para la Empresa I: ExamenEnero23-resuelto.pdf

4 páginas

He publicado nuevos examenes de 1º Matemáticas Para la Empresa I: Enero21-Tipo01-resuelto.pdf

4 páginas

apuntes

-

MATEMÁTICAS I COMPLETO

He publicado nuevos apuntes de 1º Matemáticas Para la Empresa I: MATEMÁTICAS I COMPLETO

FICHA-T.1.pdf
FICHA-T.2.pdf
PROBLEMAS-OPT.-examenes-anos-anteriores-resueltos.pdf
FICHA-T.3.pdf
FICHA-T.4.pdf
MATES-1-COMPLETO-EJE.VID.AULA-VIRTUAL.pdf

He publicado nuevos apuntes de 1º Derecho Civil: derecho-civil-completo.pdf

25 páginas

He publicado nuevos examenes de 1º MATEMÁTICAS PARA LA EMPRESA II: Examenes-años-anteriores-con-soluciones-MATES-II.pdf

45 páginas

apuntes

-

TEMA 5 COMPLETO (apuntes+ejercicios+ficha problemas)

He publicado nuevos apuntes de 1º MATEMÁTICAS PARA LA EMPRESA II: TEMA 5 COMPLETO (apuntes+ejercicios+ficha problemas)

ejerciciostema52022-2023-excepto-ultimo-punto.pdf
mates-II-tema-5.pdf

apuntes

-

TEMA 4 COMPLETO (apuntes+ejercicios+ficha problemas)

He publicado nuevos apuntes de 1º MATEMÁTICAS PARA LA EMPRESA II: TEMA 4 COMPLETO (apuntes+ejercicios+ficha problemas)

MATES-II-tema-4.pdf
EjerciciosTema4-2022-2023.pdf

ejercicios

-

TEMA 3 COMPLETO (apuntes+ejercicios+ficha problemas)

He publicado nuevos ejercicios de 1º MATEMÁTICAS PARA LA EMPRESA II: TEMA 3 COMPLETO (apuntes+ejercicios+ficha problemas)

HOJA-DE-PROBLEMAS-TEMA-3.pdf
mates-II-tema-3.pdf

ejercicios

-

TEMA 2 COMPLETO (apuntes+ejercicios+ficha problemas)

He publicado nuevos ejercicios de 1º MATEMÁTICAS PARA LA EMPRESA II: TEMA 2 COMPLETO (apuntes+ejercicios+ficha problemas)

EjerciciosyApuntesMAT2-Tema-2.pdf
Ejercicios-MAT2-Tema222-23.pdf

He publicado nuevos ejercicios de 1º Estadística Para la Empresa I: ESTADISTICA-TEMA-1-EJ.pdf

7 páginas

He publicado nuevos apuntes de 1º Introducción a la Economía I: APUNTES-INTRO-I-COMPLETO.pdf

26 páginas

He publicado nuevos ejercicios de 1º Introducción a la Economía I: EJERCICIOS-INTRO-I-T.1-T.6.pdf

16 páginas

He publicado nuevos apuntes de 1º Administración de Empresas: ADE-APUNTES-COMPLETO.pdf

29 páginas

He publicado nuevos practicas de 1º Derecho Civil: DERECHO-PRACTICA.pdf

4 páginas

He publicado nuevos practicas de 1º Derecho Civil: Practica-4.pdf

4 páginas

He publicado nuevos apuntes de 1º Derecho Civil: ADE-PRACTICA-COMPRAVENTA.pdf

3 páginas

He publicado nuevos practicas de 1º Derecho Civil: AUTOEVALUACION-DERECHO-CIVIL-4.pdf

3 páginas

He publicado nuevos practicas de 1º Derecho Civil: REPASO-LECCIONES-1-A-4.pdf

8 páginas